Skul.pl
  • Opracowania zadań z podręczników
  • Matematyka. Klasa 7. Zeszyt ćwiczeń - rozwiązania i odpowiedzi
  • Podpunkt b)

Matematyka. Klasa 7. Zeszyt ćwiczeń - rozwiązania i odpowiedzi

Zeszyt ćwiczeń, Wydawnictwo: WSiP
Poprzednie

Zadanie 7., b) - strona 60

Następne

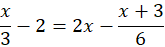
Zadanie

Wyznacz wartość x.

Rozwiązanie

x = - 1

Skul

Wyjaśnienie

Aby znaleźć rozwiązanie równania, przeprowadź kilka operacji algebraicznych: przesunięcie wyrazów z x na jedną stronę równania oraz wyrazów wolnych na drugą, a następnie uproszczenie.

Poprzednie
Następne

Matematyka - wybrane pytania

Zadanie 1., strona 189, Matematyka. Klasa 8. Podręcznik – rozwiązania i odpowiedzi
Zadanie 8., strona 104, MATeMAtyka. Klasa 3. Podręcznik. Zakres podstawowy i rozszerzony – rozwiązania i odpowiedzi
Zadanie 1., strona 15, Matematyka. Klasa 8. Zeszyt ćwiczeń - rozwiązania i odpowiedzi
Zadanie 4.44., strona 262, Prosto do matury 4. Zakres podstawowy i rozszerzony. Podręcznik - rozwiązania i odpowiedzi
Zadanie 11, strona 20, Matematyka z kluczem. Klasa 4. Podręcznik. Część 2 - rozwiązania i odpowiedzi
Zadanie 31, strona 20, Matura z matematyki. Arkusz dodatkowy. Poziom podstawowy. Czerwiec 2021
Zadanie 18., strona 72, Matematyka z plusem. Klasa 2. Zbiór zadań. Zakres podstawowy i rozszerzony – rozwiązania i odpowiedzi
Zadanie 7, strona 104, Matematyka z kluczem. Klasa 4. Podręcznik. Część 2 - rozwiązania i odpowiedzi
Zadanie 23., strona 144, Matematyka. Klasa 2. Zakres podstawowy. Zbiór zadań - rozwiązania i odpowiedzi
Zadanie 9., strona 102, Matematyka z plusem. Klasa 6. Zeszyt ćwiczeń - pytania i odpowiedzi.
REKLAMA
Skul
Zadania z tego działu
5. Równania
55
5.1. Przykłady równań
55

Zadanie 1.

55

Zadanie 2.

55

Zadanie 3.

55

Zadanie 4.

55

Zadanie 5.

56

Podpunkt a)

56

Podpunkt b)

56

Zadanie 6.

56

Podpunkt a)

56

Podpunkt b)

56

Podpunkt c)

56

Zadanie 7.

56

Zadanie 8.

56
5.2. Rozwiązywanie równań
57

Zadanie 1.

57

Zadanie 2.

57

Zadanie 3.

57

Podpunkt a)

57

Podpunkt b)

57

Podpunkt c)

57

Podpunkt d)

57

Zadanie 4.

58

Zadanie 5.

58

Podpunkt a)

58

Podpunkt b)

58

Podpunkt c)

58

Zadanie 6.

59

Podpunkt a)

59

Podpunkt b)

59

Zadanie 7.

60

Podpunkt a)

60

Podpunkt b)

60

Podpunkt c)

60

Podpunkt d)

60
5.3. Zadania tekstowe
61

Zadanie 1.

61

Zadanie 2.

61

Zadanie 3.

61

Zadanie 4.

61

Zadanie 5.

62

Zadanie 6.

62

Zadanie 7.

62
5.4. Wielkości wprost proporcjonalne
63

Zadanie 1.

63

Zadanie 2.

63

Zadanie 3.

63

Zadanie 4.

63

Zadanie 5.

63

Zadanie 6.

64

Zadanie 7.

64

Podpunkt a)

64

Podpunkt b)

64

Zadanie 8.

64

Zadanie 9.

64
5.5. Przekształcanie wzorów
65

Zadanie 1.

65

Zadanie 2.

65

Zadanie 3.

65

Zadanie 4.

65

Podpunkt a)

65

Podpunkt b)

65

Zadanie 5.

66

Podpunkt a)

66

Podpunkt b)

66

Podpunkt c)

66

Zadanie 6.

66

Zadanie 7.

66

Podpunkt a)

66

Podpunkt b)

66
Pełny spis treści
Skul
Artboard 1
Skul.pl
  • Napisz do nas
  • FAQ
  • Mapa Serwisu
  • Google Play
  • App Store

Korzystanie z portalu oznacza akceptację Regulaminu.
Polityka prywatności. Ustawienia preferencji. Copyright: INTERIA.PL 1999-2023 Wszystkie prawa zastrzeżone.