Skul.pl
  • Opracowania zadań z podręczników
  • Matematyka. Klasa 7. Zeszyt ćwiczeń - rozwiązania i odpowiedzi
  • Podpunkt b)

Matematyka. Klasa 7. Zeszyt ćwiczeń - rozwiązania i odpowiedzi

Zeszyt ćwiczeń, Wydawnictwo: WSiP
Poprzednie

Zadanie 7., b) - strona 64

Następne

Zadanie

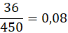
Uzupełnij zdania, jeśli samochód Bogdana spala 36 l paliwa na 450 km

Rozwiązanie

201

Skul

Wyjaśnienie

Aby obliczyć na ile kilometrów starczy 20 l paliwa wystarczy, że podzielisz tą liczbę przez ilość litrów spalanych w ciągu 1 km.

Poprzednie
Następne

Matematyka - wybrane pytania

Zadanie 3.8, strona 30, Prosto do matury. Klasa 3. Zakres podstawowy. Podręcznik - rozwiązania i odpowiedzi
Zadanie 4., strona 29, Matematyka z plusem. Klasa 6. Zeszyt ćwiczeń - rozwiązania i odpowiedzi
Zadanie 9., strona 83, Matematyka z kluczem. Klasa 7. Zbiór zadań - rozwiązania i odpowiedzi
Zadanie 8, strona 46, Matematyka z kluczem. Klasa 4. Zbiór zadań – rozwiązania i odpowiedzi
Zadanie 1, strona 179, Matematyka. Klasa 4. Podręcznik - rozwiązania i odpowiedzi
Zadanie 5.34, strona 83, Matematyka 4. Zbiór zadań do liceów i techników. Zakres podstawowy
Zadanie 6., strona 167, Matematyka wokół nas. Klasa 8. Podręcznik - rozwiązania i odpowiedzi
Zadanie 53, strona 243, Matematyka z plusem. Klasa 4. Podręcznik - rozwiązania i odpowiedzi
Ćwiczenie 12., strona 47, Matematyka wokół nas. Klasa 5. Podręcznik - rozwiązania i odpowiedzi
Ćwiczenie 4., strona 44, Matematyka z plusem. Klasa 6. Zeszyt ćwiczeń. Wersja B część 2/2 - rozwiązania i odpowiedzi.
REKLAMA
Skul
Zadania z tego działu
5. Równania
55
5.1. Przykłady równań
55

Zadanie 1.

55

Zadanie 2.

55

Zadanie 3.

55

Zadanie 4.

55

Zadanie 5.

56

Podpunkt a)

56

Podpunkt b)

56

Zadanie 6.

56

Podpunkt a)

56

Podpunkt b)

56

Podpunkt c)

56

Zadanie 7.

56

Zadanie 8.

56
5.2. Rozwiązywanie równań
57

Zadanie 1.

57

Zadanie 2.

57

Zadanie 3.

57

Podpunkt a)

57

Podpunkt b)

57

Podpunkt c)

57

Podpunkt d)

57

Zadanie 4.

58

Zadanie 5.

58

Podpunkt a)

58

Podpunkt b)

58

Podpunkt c)

58

Zadanie 6.

59

Podpunkt a)

59

Podpunkt b)

59

Zadanie 7.

60

Podpunkt a)

60

Podpunkt b)

60

Podpunkt c)

60

Podpunkt d)

60
5.3. Zadania tekstowe
61

Zadanie 1.

61

Zadanie 2.

61

Zadanie 3.

61

Zadanie 4.

61

Zadanie 5.

62

Zadanie 6.

62

Zadanie 7.

62
5.4. Wielkości wprost proporcjonalne
63

Zadanie 1.

63

Zadanie 2.

63

Zadanie 3.

63

Zadanie 4.

63

Zadanie 5.

63

Zadanie 6.

64

Zadanie 7.

64

Podpunkt a)

64

Podpunkt b)

64

Zadanie 8.

64

Zadanie 9.

64
5.5. Przekształcanie wzorów
65

Zadanie 1.

65

Zadanie 2.

65

Zadanie 3.

65

Zadanie 4.

65

Podpunkt a)

65

Podpunkt b)

65

Zadanie 5.

66

Podpunkt a)

66

Podpunkt b)

66

Podpunkt c)

66

Zadanie 6.

66

Zadanie 7.

66

Podpunkt a)

66

Podpunkt b)

66
Pełny spis treści
Skul
Artboard 1
Skul.pl
  • Napisz do nas
  • FAQ
  • Mapa Serwisu
  • Google Play
  • App Store

Korzystanie z portalu oznacza akceptację Regulaminu.
Polityka prywatności. Ustawienia preferencji. Copyright: INTERIA.PL 1999-2023 Wszystkie prawa zastrzeżone.