Skul.pl
  • Opracowania zadań z podręczników
  • Matematyka. Klasa 7. Zeszyt ćwiczeń - rozwiązania i odpowiedzi
  • Zadanie 3.

Matematyka. Klasa 7. Zeszyt ćwiczeń - rozwiązania i odpowiedzi

Zeszyt ćwiczeń, Wydawnictwo: WSiP
Poprzednie

Zadanie 3. - strona 61

Następne

Zadanie

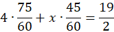
W marcu profesor przeprowadził 4 wykłady i pewną ilość warsztatów. W sumie przepracował ze studentami 9,5h, Jeśli pojedynczy wykład trwał 75 minut, a warsztat 45. Ile warsztatów przeprowadził profesor?

Rozwiązanie

Skul

Wyjaśnienie

W zadaniu trzeba ułóż i rozwiąż następujące równanie

Poprzednie
Następne

Matematyka - wybrane pytania

Ćwiczenie 5, strona 96, Matematyka z kluczem. Klasa 7. Podręcznik – rozwiązania i odpowiedzi
Zadanie 3., strona 269, Matematyka. Klasa 1. Podręcznik. Zakres podstawowy - rozwiązania i odpowiedzi
Ćwiczenie 12., strona 195, Matematyka wokół nas. Klasa 5. Podręcznik - rozwiązania i odpowiedzi
Zadanie 2, strona 41, Matematyka. Klasa 5. Podręcznik. Część 1 - rozwiązania i odpowiedzi
Ćwiczenie 1, strona 104, Matematyka. Klasa 7. Podręcznik – rozwiązania i odpowiedzi
Zadanie 15., strona 174, Matematyka. Klasa 7. Zbiór zadań – rozwiązania i odpowiedzi
Zadanie Co było na lekcji 8, strona 94, Matematyka. Klasa 5. Zeszyt ćwiczeń część 1 - rozwiązania i odpowiedzi.
Zadanie 2, strona 101, Matematyka z plusem. Klasa 6. Zeszyt ćwiczeń. Wersja C – rozwiązania i odpowiedzi
Zadanie 8 zamknięte, strona 34, Matematyka wokół nas. Klasa 4. Zbiór zadań - rozwiązania i odpowiedzi
Zadanie otwarte 1, strona 130, Matematyka wokół nas. Klasa 5. Zbiór zadań – rozwiązania i odpowiedzi
REKLAMA
Skul
Zadania z tego działu
5. Równania
55
5.1. Przykłady równań
55

Zadanie 1.

55

Zadanie 2.

55

Zadanie 3.

55

Zadanie 4.

55

Zadanie 5.

56

Podpunkt a)

56

Podpunkt b)

56

Zadanie 6.

56

Podpunkt a)

56

Podpunkt b)

56

Podpunkt c)

56

Zadanie 7.

56

Zadanie 8.

56
5.2. Rozwiązywanie równań
57

Zadanie 1.

57

Zadanie 2.

57

Zadanie 3.

57

Podpunkt a)

57

Podpunkt b)

57

Podpunkt c)

57

Podpunkt d)

57

Zadanie 4.

58

Zadanie 5.

58

Podpunkt a)

58

Podpunkt b)

58

Podpunkt c)

58

Zadanie 6.

59

Podpunkt a)

59

Podpunkt b)

59

Zadanie 7.

60

Podpunkt a)

60

Podpunkt b)

60

Podpunkt c)

60

Podpunkt d)

60
5.3. Zadania tekstowe
61

Zadanie 1.

61

Zadanie 2.

61

Zadanie 3.

61

Zadanie 4.

61

Zadanie 5.

62

Zadanie 6.

62

Zadanie 7.

62
5.4. Wielkości wprost proporcjonalne
63

Zadanie 1.

63

Zadanie 2.

63

Zadanie 3.

63

Zadanie 4.

63

Zadanie 5.

63

Zadanie 6.

64

Zadanie 7.

64

Podpunkt a)

64

Podpunkt b)

64

Zadanie 8.

64

Zadanie 9.

64
5.5. Przekształcanie wzorów
65

Zadanie 1.

65

Zadanie 2.

65

Zadanie 3.

65

Zadanie 4.

65

Podpunkt a)

65

Podpunkt b)

65

Zadanie 5.

66

Podpunkt a)

66

Podpunkt b)

66

Podpunkt c)

66

Zadanie 6.

66

Zadanie 7.

66

Podpunkt a)

66

Podpunkt b)

66
Pełny spis treści
Skul
Artboard 1
Skul.pl
  • Napisz do nas
  • FAQ
  • Mapa Serwisu
  • Google Play
  • App Store

Korzystanie z portalu oznacza akceptację Regulaminu.
Polityka prywatności. Ustawienia preferencji. Copyright: INTERIA.PL 1999-2023 Wszystkie prawa zastrzeżone.