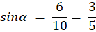
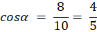
W tym zadaniu musisz obliczyć sinα oraz cosα.
Cosinus kąta ostrego to stosunek długości przyprostokątnej przyległej do tego kąta do długości przeciwprostokątnej. Sinus kąta ostrego jest to stosunek długości przyprostokątnej leżącej naprzeciwko tego kąta do długości przeciwprostokątnej. W tym przypadku musisz najpierw obliczyć jedną z przyprostokątnych, korzystając z twierdzenia Pitagorasa.
Ćwiczenie 4.
21Ćwiczenie 5.
21Ćwiczenie 7.
22Ćwiczenie 8.
22Ćwiczenie 9.
23Ćwiczenie 10.
23Zadanie 2.1.
24Zadanie 2.2.
24Zadanie 2.6.
25Zadanie 2.7.
25Zadanie 2.10.
26Zadanie 2.12.
26Ćwiczenie 13.
27Ćwiczenie 14.
27Ćwiczenie 17.
29Ćwiczenie 19.
29Zadanie 2.14.
29Zadanie 2.15.
30Zadanie 2.16.
30Zadanie 2.17.
30Zadanie 2.21.
30Zadanie 2.23.
31Ćwiczenie 22.
32Ćwiczenie 23.
32Ćwiczenie 24.
32Zadanie 2.24.
34Zadanie 2.25.
34Ćwiczenie 28.
35Ćwiczenie 29.
36Ćwiczenie 30.
37Zadanie 2.31.
38Zadanie 2.32.
38Zadanie 2.33.
38Zadanie 2.35.
39Zadanie 2.36.
40Zadanie 2.37.
40Ćwiczenie 35.
41Ćwiczenie 36.
42Ćwiczenie 37.
42Ćwiczenie 38.
42Zadanie 2.43.
43Zadanie 2.44.
43Zadanie 2.45.
44Zadanie 2.48.
44Ćwiczenie 1.
19Ćwiczenie 2.
20