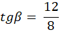
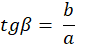
W tym zadaniu musisz rozwiązać trójkąt prostokątny, wiedząc, że a = 8 cm i
Aby rozwiązać trójkąt, musisz policzyć jego wszystkie boki i kąty. W tym przypadku skorzystaj z twierdzenia sinusów i tangensów. Pamiętaj, że suma miar kątów w trójkącie wynosi 180°. Skorzystaj także, ze wzoru na pole trójkąta.
Ćwiczenie 4.
21Ćwiczenie 5.
21Ćwiczenie 7.
22Ćwiczenie 8.
22Ćwiczenie 9.
23Ćwiczenie 10.
23Zadanie 2.1.
24Zadanie 2.2.
24Zadanie 2.6.
25Zadanie 2.7.
25Zadanie 2.10.
26Zadanie 2.12.
26Ćwiczenie 13.
27Ćwiczenie 14.
27Ćwiczenie 17.
29Ćwiczenie 19.
29Zadanie 2.14.
29Zadanie 2.15.
30Zadanie 2.16.
30Zadanie 2.17.
30Zadanie 2.21.
30Zadanie 2.23.
31Ćwiczenie 22.
32Ćwiczenie 23.
32Ćwiczenie 24.
32Zadanie 2.24.
34Zadanie 2.25.
34Ćwiczenie 28.
35Ćwiczenie 29.
36Ćwiczenie 30.
37Zadanie 2.31.
38Zadanie 2.32.
38Zadanie 2.33.
38Zadanie 2.35.
39Zadanie 2.36.
40Zadanie 2.37.
40Ćwiczenie 35.
41Ćwiczenie 36.
42Ćwiczenie 37.
42Ćwiczenie 38.
42Zadanie 2.43.
43Zadanie 2.44.
43Zadanie 2.45.
44Zadanie 2.48.
44Ćwiczenie 1.
19Ćwiczenie 2.
20