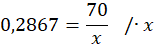
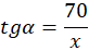
W tym zadaniu musisz obliczyć, jaka jest odległość pomiędzy brzegiem a kutrem. Kąt depresji wynosi 16°, a miejsce, w którym znajduje się obserwator, jest 70 m nad poziomem morza.
x – odległość latarni od brzegu
Zauważ, że w tym zadaniu mamy trójkąt prostokątny o kącie 16°. Aby obliczyć odległość, musimy skorzystać z funkcji trygonometrycznej tangensa. Natomiast wartość kąta, odczytujemy z tablic wartości funkcji trygonometrycznych.
Ćwiczenie 4.
21Ćwiczenie 5.
21Ćwiczenie 7.
22Ćwiczenie 8.
22Ćwiczenie 9.
23Ćwiczenie 10.
23Zadanie 2.1.
24Zadanie 2.2.
24Zadanie 2.6.
25Zadanie 2.7.
25Zadanie 2.10.
26Zadanie 2.12.
26Ćwiczenie 13.
27Ćwiczenie 14.
27Ćwiczenie 17.
29Ćwiczenie 19.
29Zadanie 2.14.
29Zadanie 2.15.
30Zadanie 2.16.
30Zadanie 2.17.
30Zadanie 2.21.
30Zadanie 2.23.
31Ćwiczenie 22.
32Ćwiczenie 23.
32Ćwiczenie 24.
32Zadanie 2.24.
34Zadanie 2.25.
34Ćwiczenie 28.
35Ćwiczenie 29.
36Ćwiczenie 30.
37Zadanie 2.31.
38Zadanie 2.32.
38Zadanie 2.33.
38Zadanie 2.35.
39Zadanie 2.36.
40Zadanie 2.37.
40Ćwiczenie 35.
41Ćwiczenie 36.
42Ćwiczenie 37.
42Ćwiczenie 38.
42Zadanie 2.43.
43Zadanie 2.44.
43Zadanie 2.45.
44Zadanie 2.48.
44Ćwiczenie 1.
19Ćwiczenie 2.
20