Na podstawie podanego stosunku siedzących na drzewie ptaków, musisz napisać, jaki ułamek ptaków konkretnego gatunku siedzi na drzewie.
8x + 3x + 1x = 12x
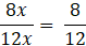
Wróble stanowią
Stosunek 8 : 3 : 1 możesz inaczej określić jako liczbę części. Czyli masz 8x wróbli, 3x srok i 1x wron. Razem – 12x ptaków. Ułamek ptaka konkretnego gatunku zapisz jako:
Zadanie 1.
6Zadanie 2.
6Zadanie 3.
6Zadanie 5.
6Zadanie 6.
6Zadanie 10.
7Zadanie 11.
7Zadanie 12.
7Zadanie 17.
8Zadanie 19.
8Zadanie 21.
8Zadanie 23.
8Zadanie 25.
8Zadanie 1.
9Zadanie 2.
9Zadanie 3.
9Zadanie 6.
9Zadanie 7.
9Zadanie 8.
10Zadanie 9.
10Zadanie 16.
11Zadanie 21.
11Zadanie 1.
12Zadanie 2.
12Zadanie 3.
12Zadanie 4.
12Zadanie 5.
12Zadanie 6.
12Zadanie 12.
13Zadanie 13.
13Zadanie 14.
13Zadanie 15.
13Zadanie 20.
14Zadanie 1.
15Zadanie 2.
15Zadanie 15.
16Zadanie 1.
18Zadanie 2.
18Zadanie 3.
18Zadanie 7.
18Zadanie 9.
19Zadanie 12.
19Zadanie 1.
21Zadanie 4.
21Zadanie 6.
21Zadanie 10.
22Zadanie 11.
22Zadanie 14.
22Zadanie 16.
23Zadanie 1.
24Zadanie 7.
24Zadanie 15.
28Zadanie 16.
28Zadanie 17.
28Zadanie 22.
29Zadanie 27
29Zadanie 28.
29Zadanie 29
29Zadanie 31.
29