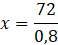
W tym zdaniu musisz obliczyć początkową cenę butów, jeśli po 20% obniżce kosztują one 72 zł.
100 – 20 = 80%
x = 90 zł
Na początku oblicz, ile procent starej kwoty wynosi nowa cena. Nową cenę butów oznacz jako x. Następnie ułóż równanie na obliczenie nowej ceny, przekształcono je i oblicz x.
Zadanie 1.
6Zadanie 2.
6Zadanie 3.
6Zadanie 5.
6Zadanie 6.
6Zadanie 10.
7Zadanie 11.
7Zadanie 12.
7Zadanie 17.
8Zadanie 19.
8Zadanie 21.
8Zadanie 23.
8Zadanie 25.
8Zadanie 1.
9Zadanie 2.
9Zadanie 3.
9Zadanie 6.
9Zadanie 7.
9Zadanie 8.
10Zadanie 9.
10Zadanie 16.
11Zadanie 21.
11Zadanie 1.
12Zadanie 2.
12Zadanie 3.
12Zadanie 4.
12Zadanie 5.
12Zadanie 6.
12Zadanie 12.
13Zadanie 13.
13Zadanie 14.
13Zadanie 15.
13Zadanie 20.
14Zadanie 1.
15Zadanie 2.
15Zadanie 15.
16Zadanie 1.
18Zadanie 2.
18Zadanie 3.
18Zadanie 7.
18Zadanie 9.
19Zadanie 12.
19Zadanie 1.
21Zadanie 4.
21Zadanie 6.
21Zadanie 10.
22Zadanie 11.
22Zadanie 14.
22Zadanie 16.
23Zadanie 1.
24Zadanie 7.
24Zadanie 15.
28Zadanie 16.
28Zadanie 17.
28Zadanie 22.
29Zadanie 27
29Zadanie 28.
29Zadanie 29
29Zadanie 31.
29