W tym zadaniu musisz, wykonując obliczenia i korzystając z podanych danych, obliczyć, ile było orzechów w koszyku na samym początku.
Na początku: x
Wojtek zjadł:
Jurek zjadł:
Asia zjadła: 3
Na końcu: 0
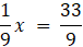
x = 33
Na początku w koszyku były 33 orzechy.
Najpierw zapisz, ile orzechów było na początku (x) i ile na końcu (0). Następnie zapisz, ile orzechów zjadły po kolei dzieci. Na koniec ułóż równanie, gdzie od początkowej wartości orzechów, odejmij wszystkie, które były zjedzone. Przekształcając równanie, oblicz x. Musisz pamiętać, aby przy działaniach dodawania i odejmowania ułamki miały wspólny mianownik.
Zadanie 1.
6Zadanie 2.
6Zadanie 3.
6Zadanie 5.
6Zadanie 6.
6Zadanie 10.
7Zadanie 11.
7Zadanie 12.
7Zadanie 17.
8Zadanie 19.
8Zadanie 21.
8Zadanie 23.
8Zadanie 25.
8Zadanie 1.
9Zadanie 2.
9Zadanie 3.
9Zadanie 6.
9Zadanie 7.
9Zadanie 8.
10Zadanie 9.
10Zadanie 16.
11Zadanie 21.
11Zadanie 1.
12Zadanie 2.
12Zadanie 3.
12Zadanie 4.
12Zadanie 5.
12Zadanie 6.
12Zadanie 12.
13Zadanie 13.
13Zadanie 14.
13Zadanie 15.
13Zadanie 20.
14Zadanie 1.
15Zadanie 2.
15Zadanie 15.
16Zadanie 1.
18Zadanie 2.
18Zadanie 3.
18Zadanie 7.
18Zadanie 9.
19Zadanie 12.
19Zadanie 1.
21Zadanie 4.
21Zadanie 6.
21Zadanie 10.
22Zadanie 11.
22Zadanie 14.
22Zadanie 16.
23Zadanie 1.
24Zadanie 7.
24Zadanie 15.
28Zadanie 16.
28Zadanie 17.
28Zadanie 22.
29Zadanie 27
29Zadanie 28.
29Zadanie 29
29Zadanie 31.
29