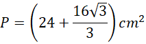
W tym zadaniu oblicz pole trapezu oraz jego obwód.
Jedno ramię trapezu ma długoś cm – jest przeciwprostokątną trójkąta prostokątnego równoramiennego o boku długości 4 cm.
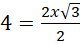
Oznaczmy, krótszy bok trójkąta o kacie 60˚ jako x, wtedy z własności o trójkącie równobocznym i twierdzeniu Pitagorasa mamy:
, stąd . Ponownie korzystając z twierdzenia Pitagorasa, otrzymamy, że drugie ramię trapezu jest równe .
Zadanie 1
Zadanie 2
Zadanie 3
Zadanie 4
Zadanie 5
Zadanie 6
Zadanie 7
Zadanie 7*
Podpunkt a)
Podpunkt b)