Skul.pl
  • Opracowania zadań z podręczników
  • Matematyka. Klasa 8. Zeszyt ćwiczeń – rozwiązania i odpowiedzi
  • Zadanie 6

Matematyka. Klasa 8. Zeszyt ćwiczeń – rozwiązania i odpowiedzi

Zeszyt ćwiczeń, Wydawnictwo: Operon
Poprzednie

Zadanie 6 - strona 56

Następne

Zadanie

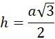
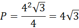
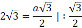
Oblicz pole i obwód trójkąta równobocznego.

Rozwiązanie

Obwód = 12 cm

Skul

Wyjaśnienie

Poprzednie
Następne

Matematyka - wybrane pytania

Zadanie 11, strona 152, Teraz matura. Klasa 4. Zbiór zadań. Poziom podstawowy – rozwiązania i odpowiedzi
Zadanie 8, strona 90, Matematyka. Klasa 8. Zeszyt ćwiczeń – rozwiązania i odpowiedzi
Zadanie 2., strona 216, To się liczy! Klasa 1. Podręcznik – rozwiązania i odpowiedzi
Zadanie 3, strona 174, Matematyka z plusem. Klasa 2. Podręcznik. Zakres rozszerzony – rozwiązania i odpowiedzi
Zadanie zestaw 3 2., strona 313, Matematyka. Klasa 1. Podręcznik. Zakres podstawowy - rozwiązania i odpowiedzi
Zadanie 5.55., strona 165, Matematyka. Klasa 1. Zbiór zadań. Zakres rozszerzony – rozwiązania i odpowiedzi
Zadanie 5., strona 23, Matematyka z kluczem. Klasa 4. Zeszyt ćwiczeń - rozwiązania i odpowiedzi
Zadanie 6.19., strona 48, Prosto do matury. Matematyka. Klasa 2. Podręcznik. Zakres podstawowy i rozszerzony – rozwiązania i odpowiedzi
Zadanie 4.38, strona 432, Matematyka. Prosto do matury. Klasa 1. Zakres podstawowy i rozszerzony. Podręcznik - rozwiązania i odpowiedzi
Ćwiczenie 12., strona 66, Matematyka z plusem. Klasa 6. Podręcznik - rozwiązania i odpowiedzi
REKLAMA
Skul
Zadania z tego działu
3. Wielokąty i okręgi
45
1. Długość okręgu
45

Zadanie 1

45

Zadanie 2

45

Zadanie 3

45

Zadanie 4

46

Zadanie 5

46

Zadanie 6

46

Zadanie 7

47
2. Pole koła
47

Zadanie 1

47

Zadanie 2

47

Zadanie 3

47

Zadanie 4

48

Zadanie 5

48

Zadanie 6

48

Zadanie 7*

49
3. Zadania praktyczne na zastosowanie długości okręgu i pola koła
49

Zadanie 1

49

Zadanie 2

49

Zadanie 3

50

Zadanie 4

50

Zadanie 5

50

Zadanie 6

51

Zadanie 7

51
4. Czworokąty i ich własności
51

Zadanie 1

52

Zadanie 2

52

Podpunkt a)

52

Podpunkt b)

52

Zadanie 3

52

Zadanie 4

52

Zadanie 5

53

Zadanie 6

53

Zadanie 7

53
5. Wielokąty foremne
54

Zadanie 1

54

Zadanie 2

54

Zadanie 3

55

Zadanie 4

55

Zadanie 5

55

Zadanie 6

56

Zadanie 7

56
6. Zadania na pola wielokątów i kół
57

Zadanie 1

57

Zadanie 2

57

Zadanie 3

57

Zadanie 4

58

Zadanie 5

58

Zadanie 6

58
Pełny spis treści
Skul
Artboard 1
Skul.pl
  • Napisz do nas
  • FAQ
  • Mapa Serwisu
  • Google Play
  • App Store

Korzystanie z portalu oznacza akceptację Regulaminu.
Polityka prywatności. Ustawienia preferencji. Copyright: INTERIA.PL 1999-2023 Wszystkie prawa zastrzeżone.