Pole koła o promieniu 6 cm:
Pole
Pole trójkąta prostokątnego o przyprostokątnych 6 cm:
Pole zamalowanej części koła:
Pole zamalowanej części koła to różnica
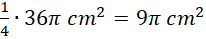
Pole koła o promieniu 6 cm:
Pole
Pole trójkąta prostokątnego o przyprostokątnych 6 cm:
Pole zamalowanej części koła: