Skul.pl
  • Opracowania zadań z podręczników
  • Matematyka. Klasa 8. Zeszyt ćwiczeń – rozwiązania i odpowiedzi
  • Zadanie 1

Matematyka. Klasa 8. Zeszyt ćwiczeń – rozwiązania i odpowiedzi

Zeszyt ćwiczeń, Wydawnictwo: Operon
Poprzednie

Zadanie 1 - strona 45

Następne

Zadanie

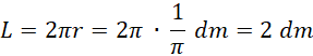
Oblicz obwód okręgu.

Rozwiązanie

2 dm

Skul

Wyjaśnienie

Następne

Matematyka - wybrane pytania

Zadanie 8.25, strona 157, Prosto do matury. Matematyka. Klasa 1. Zakres podstawowy. Podręcznik - rozwiązania i odpowiedzi
Ćwiczenie 8., strona 97, Matematyka wokół nas. Klasa 4. Zeszyt ćwiczeń. Część 1 - rozwiązania i odpowiedzi
Zadanie 57., strona 196, Matematyka. Prosto do matury. Klasa 1. Zakres podstawowy i rozszerzony. Podręcznik - rozwiązania i odpowiedzi
Zadanie 5, strona 195, Matematyka z plusem. Klasa 8. Podręcznik – rozwiązania i odpowiedzi
Zadanie Dla dociekliwych, strona 41, Matematyka z kluczem. Klasa 4. Podręcznik. Część 1 - rozwiązania i odpowiedzi
Zadanie 19., strona 110, Matematyka. Klasa 5. Podręcznik. Część 2 – rozwiązania i odpowiedzi
Zadanie 12., strona 90, Matematyka z Plusem. Klasa 1. Podręcznik. Poziom rozszerzony – rozwiązania i odpowiedzi
Zadanie 10., strona 79, MATeMAtyka. Klasa 3. Zbiór zadań. Zakres podstawowy – rozwiązania i odpowiedzi
Zadanie 13, strona 313, Matematyka z kluczem. Klasa 8. Podręcznik - rozwiązania i odpowiedzi
Zadanie 30., strona 88, Matematyka z kluczem. Klasa 8. Zbiór zadań – rozwiązania i odpowiedzi
REKLAMA
Skul
Zadania z tego działu
3. Wielokąty i okręgi
45
1. Długość okręgu
45

Zadanie 1

45

Zadanie 2

45

Zadanie 3

45

Zadanie 4

46

Zadanie 5

46

Zadanie 6

46

Zadanie 7

47
2. Pole koła
47

Zadanie 1

47

Zadanie 2

47

Zadanie 3

47

Zadanie 4

48

Zadanie 5

48

Zadanie 6

48

Zadanie 7*

49
3. Zadania praktyczne na zastosowanie długości okręgu i pola koła
49

Zadanie 1

49

Zadanie 2

49

Zadanie 3

50

Zadanie 4

50

Zadanie 5

50

Zadanie 6

51

Zadanie 7

51
4. Czworokąty i ich własności
51

Zadanie 1

52

Zadanie 2

52

Podpunkt a)

52

Podpunkt b)

52

Zadanie 3

52

Zadanie 4

52

Zadanie 5

53

Zadanie 6

53

Zadanie 7

53
5. Wielokąty foremne
54

Zadanie 1

54

Zadanie 2

54

Zadanie 3

55

Zadanie 4

55

Zadanie 5

55

Zadanie 6

56

Zadanie 7

56
6. Zadania na pola wielokątów i kół
57

Zadanie 1

57

Zadanie 2

57

Zadanie 3

57

Zadanie 4

58

Zadanie 5

58

Zadanie 6

58
Pełny spis treści
Skul
Artboard 1
Skul.pl
  • Napisz do nas
  • FAQ
  • Mapa Serwisu
  • Google Play
  • App Store

Korzystanie z portalu oznacza akceptację Regulaminu.
Polityka prywatności. Ustawienia preferencji. Copyright: INTERIA.PL 1999-2023 Wszystkie prawa zastrzeżone.