W tym zadaniu musisz uprościć podane wyrażenia algebraiczne.
Pomnóż pierwszy nawias przez 6 i podziel drugi przez 3:
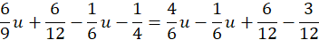
Uprość powstałe wyrażenie, sprowadzając wyrazy podobne do wspólnych mianowników:
Zredukuj wyrazy podobne:
Ćwiczenie A
155Zadanie 1
156Zadanie 2
156Zadanie 4
156Zadanie 5
156Zadanie 6
156Zadanie 7
157Zadanie 8
156Zadanie 9
157Zadanie 11
158Zadanie 12
158Zadanie 14
158Zadanie 15
158Zadanie 2
160Zadanie 3
160Zadanie 4
160Zadanie 6
161Zadanie 7
161Zadanie 1
163Zadanie 2
163Zadanie 4
164Zadanie 5
164Zadanie 9
164Ćwiczenie A
165Ćwiczenie B
165Zadanie 2
166Zadanie 5
166Zadanie 6
166Zadanie 7
167Zadanie 8
167Zadanie 9
167Zadanie 10
167Zadanie 1
169Zadanie 2
169Zadanie 3
169Zadanie 4
170Zadanie 5
170Zadanie 6
170Zadanie 7
170Zadanie 8
170Zadanie 9
170Zadanie 10
170Zadanie 1
172Zadanie 2
172Zadanie 3
172Zadanie 4
172Zadanie 5
172Zadanie 6
173Zadanie 8
173Zadanie 9
173Zadanie 1
175Zadanie 2
175Zadanie 3
175Zadanie 4
175Zadanie 5
175Zadanie 10
176Zadanie 11
176Zadanie 13
177Zadanie 14
177Zadanie 15
0Zadanie 16
177Zadanie 1
178Zadanie 4
178Zadanie 5
178Zadanie 11
179Zadanie 12
179Zadanie 2
180Zadanie 3
180Zadanie 4
180Zadanie 5
180Zadanie 6
180Zadanie 7
180Zadanie 8
180Zadanie 10
181Zadanie 11
181Zadanie 13
181Zadanie 14
181Zadanie 15
181Zadanie 17
181Zadanie 19
181Zadanie 20
181Zadanie 22
181Zadanie 23
182Zadanie 24
182Zadanie 25
182Zadanie 28
182Zadanie 29
182Zadanie 30
182Zadanie 31
182Zadanie 32
186Zadanie 33
183Zadanie 34
183Zadanie 36
183Zadanie 37
183Zadanie 38
183Zadanie 39
183Zadanie 41
183Zadanie 42
183Zadanie 45
184Zadanie 46
184Zadanie 48
184Zadanie 49
184