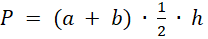
Na podstawie rysunków uzasadnij wzór na pole trapezu.
Po przecięciu trapezu jak w I otrzymujemy figurę jak w II będącą równoległobokiem. Pole równoległoboku jest równe iloczynowi podstawy i wysokości na nią odpadającej. Zatem
Przyjrzyj się rysunkom, jaka figurę otrzymujemy w II etapie? Zapisz jak obliczyć jej pole.
Zadanie 5.
66Zadanie 6.
66Zadanie 9.
66Zadanie 10.
66Zadanie 11.
66Zadanie 12.
66Zadanie 14.
67Zadanie 1.
68Zadanie 2.
69Zadanie 6.
70Zadanie 9.
71Ćwiczenie Ćwiczenie 3.
72Zadanie 1.
73Zadanie 4.
74Zadanie 5.
75Zadanie 7.
75Zadanie 9.
75Zadanie 10.
76Ćwiczenie Wyzwanie
76Zadanie 1.
78Zadanie 2.
78Zadanie 3.
79Zadanie 5.
80Zadanie 9.
81Zadanie 10.
82Zadanie 1.
84Zadanie 2.
84Zadanie 7.
86Zadanie 3.
89Zadanie 1.
95Ćwiczenie 2.
96Ćwiczenie 3.
96Zadanie 1.
97Ćwiczenie Ćwiczenie 2.
100Zadanie 1.
101Zadanie 2.
101Zadanie 3.
102Zadanie 4.
103Zadanie 7.
103Zadanie 13.
104Zadanie 1.
107Zadanie 2.
107Zadanie 6.
107Zadanie 1.
111Zadanie 4.
111Zadanie 8.
112Zadanie 14.
113Zadanie 19.
114Ćwiczenie Ćwiczenie 2.
117Zadanie 2.
118Zadanie 4.
119Zadanie 5.
120Zadanie 6.
120Ćwiczenie Ćwiczenie 1.
122Zadanie 5.
123Zadanie 7.
123Zadanie 14.
124Zadanie 23.
125Zadanie 26.
125Zadanie 29.
125Zadanie 31.
126Zadanie 33.
126Zadanie 34.
127Zadanie 36.
127