Obwód =
Pole =
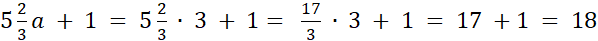
Obwód jest sumą 3 długości boku kwadratu oraz długości przyprostokątnej długości a + 1 i przeciwprostokątnej trójkąta:
Pole kwadratu jest równe długości jego boku, podniesionej do potęgi 2.Pole trójkąta prostokątnego jest połową iloczynu długości przyprostokątnych. Pole jest sumą pola kwadratu i pola trójkąta: