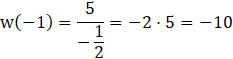
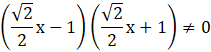
Sprawdź dziedzinę wyrażenia
Założenie:
Wyrażenie w mianowniku ułamków musi być różne od zera. Podstawiamy w miejsce x argumenty-1, -2, żeby obliczyć wartości wyrażenia.
Ćwiczenie 1.
120Ćwiczenie 2.
120Ćwiczenie 3.
121Ćwiczenie 4.
121Zadanie 1.
122Zadanie 2.
122Zadanie 3.
122Zadanie 4.
122Zadanie 5.
122Zadanie 7.
122Ćwiczenie 1.
123Ćwiczenie 2.
123Ćwiczenie 3.
124Ćwiczenie 4.
125Ćwiczenie 5.
125Ćwiczenie 6.
125Zadanie 1.
125Zadanie 2.
125Zadanie 3.
126Zadanie 4.
126Zadanie 5.
126Zadanie 6.
126Zadanie 7.
126Ćwiczenie 1.
127Ćwiczenie 2.
127Ćwiczenie 3.
128Ćwiczenie 4.
128Ćwiczenie 5.
129Zadanie 1.
129Zadanie 2.
129Zadanie 3.
129Zadanie 4.
129Zadanie 5.
129Zadanie 6.
129Zadanie 7.
129Zadanie 8.
130Zadanie 9.
130Zadanie 10.
130Zadanie 11.
130Zadanie 12.
130Zadanie warto powtórzyć 1
131Ćwiczenie 1.
132Ćwiczenie 2.
133Ćwiczenie 3.
133Ćwiczenie 4.
133Ćwiczenie 5.
134Zadanie 1.
135Zadanie 2.
135Zadanie 3.
135Zadanie 4.
135Zadanie 5.
135Zadanie 7.
135Ćwiczenie 1.
137Ćwiczenie 2.
137Ćwiczenie 3.
138Ćwiczenie 4.
138Ćwiczenie 5.
138Zadanie 1.
139Zadanie 2.
139Zadanie 3.
139Zadanie 4.
139Zadanie 5.
139Zadanie 6.
139Zadanie 7.
139Zadanie 8.
139Zadanie 9.
140Zadanie 10.
140Zadanie 11.
140Zadanie 12.
140Zadanie 15.
140Ćwiczenie 1.
141Ćwiczenie 2.
141Ćwiczenie 3.
141Ćwiczenie 4.
142Zadanie 1.
142Zadanie 2.
142Zadanie 3.
142Zadanie 4.
142Zadanie 6.
143Ćwiczenie 1.
144Ćwiczenie 2.
144Ćwiczenie 3.
145Ćwiczenie 4.
145Ćwiczenie 5.
145Ćwiczenie 6.
145Zadanie 1.
146Zadanie 2.
146Zadanie 3.
146Zadanie 5.
145Zadanie 6.
146Zadanie 7.
146Zadanie 8.
147Zadanie 9.
147Zadanie 10.
147Zadanie 12.
147Ćwiczenie 1.
148Ćwiczenie 2.
149Ćwiczenie 3.
149Ćwiczenie 4.
149Zadanie 1.
150Zadanie 2.
150Zadanie 3.
150Zadanie 4.
150Zadanie 5.
150Zadanie 6.
151Zadanie 7.
151Zadanie 8.
151Zadanie 9.
151Zadanie 10.
151Zadanie 11.
151Ćwiczenie 1.
152Ćwiczenie 2.
152Ćwiczenie 3.
152Ćwiczenie 4.
153Ćwiczenie 5.
153Ćwiczenie 6.
153Ćwiczenie 7.
154Zadanie 1.
154Zadanie 2.
154Zadanie 3.
154Zadanie 4.
155Zadanie 5.
155Zadanie 6.
155Zadanie 7.
155Zadanie 8.
155Ćwiczenie 1.
156Ćwiczenie 2.
156Ćwiczenie 3.
157Zadanie 1.
157Zadanie 2.
157Zadanie 3.
157Zadanie 4.
157Zadanie 5.
157Zadanie 6.
157Ćwiczenie 1.
158Ćwiczenie 2.
158Ćwiczenie 3.
160Ćwiczenie 4.
160Ćwiczenie 5.
160Ćwiczenie 6.
160Zadanie 1.
161Zadanie 2.
161Zadanie 3.
161Zadanie 4.
161Zadanie 5.
161Zadanie 6.
161Zadanie 7.
161Ćwiczenie 1.
162Ćwiczenie 2.
162Ćwiczenie 3.
162Ćwiczenie 4.
163Zadanie 1.
163Zadanie 2.
163Zadanie 3.
164Zadanie 4.
164Zadanie 5.
164Zadanie 6.
164Zadanie 7.
164Ćwiczenie 1.
165Ćwiczenie 2.
165Zadanie 1.
165Zadanie 2.
166Zadanie 3.
166Ćwiczenie 1.
167Ćwiczenie 2.
167Zadanie 5.
168Zadanie 6.
168Zadanie 1.
169Zadanie 2.
169Zadanie 3.
169Zadanie 4.
169Zadanie 5.
169Zadanie 6.
169Zadanie 7.
169Zadanie 8.
169Zadanie 9.
170Zadanie 10.
170Zadanie 11.
170Zadanie 12.
170Zadanie 14.
170Zadanie 1.
171Zadanie 2.
171Zadanie 3.
171Zadanie 4.
171Zadanie 5.
171Zadanie 6.
171Zadanie 7.
172Zadanie 8.
172Zadanie 9.
172Zadanie 10.
172Zadanie 11.
172Zadanie 12.
172Zadanie 13.
172Zadanie 1.
173Zadanie 2.
173Zadanie 3.
173Zadanie 4.
173Zadanie 5.
173Zadanie 6.
173Zadanie 7.
173Zadanie 8.
173Zadanie 9.
173Zadanie 10.
174Zadanie 11.
174Zadanie 12.
174Zadanie 13.
174Zadanie 16.
174Zadanie 17.
174Zadanie 18.
174Zadanie 4.
177