W tym zadaniu Twoim zadaniem jest obliczenie długości czerwonej linii oraz pola zacieniowanego obszaru, jeśli dany jest trójkąt równoboczny, którego wierzchołki leżą na okręgu o promieniu 2.
Zauważ, że dwusieczne kątów wychodzące z wierzchołka A i B tworzą trójkąt równoramienny AOB z kątem środkowym równym 120°. Podziel ten trójkąt wysokością wychodzącą z wierzchołka O i zauważ, że po podzieleniu powstały dwa trójkąty 90,60,30. Korzystając z własności tego trójkąta oblicz długość boku |AB|.
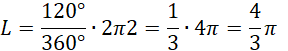
Następnie oblicz długość łuku wyznaczonego przez kąt środkowy 120°, korzystając ze wzoru:
Oblicz długość czerwonej linii:
Aby obliczyć pole zacieniowanego obszaru odejmij pole trójkąta ABC od pola koła:
Oblicz pole koła, skorzystaj ze wzoru:
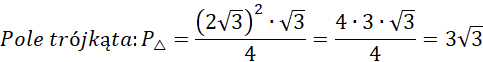
Oblicz pole trójkąta ABC, korzystając ze wzoru pole trójkąta równobocznego:
Zadanie 2
204Zadanie 5
204Zadanie 6
204Zadanie 8
204Ćwiczenie 1
205Ćwiczenie 2
205Ćwiczenie 3
205Ćwiczenie 5
205Zadanie 4
206Zadanie 5
207Zadanie 6
207Zadanie 8
207Zadanie 9
207Ćwiczenie 2
208Ćwiczenie 3
209Ćwiczenie 4
210Ćwiczenie 6
210Zadanie 1
210Zadanie 5
211Zadanie 6
211Ćwiczenie 1
213Ćwiczenie 2
213Ćwiczenie 3
213Ćwiczenie 6
215Ćwiczenie 7
215Zadanie 1
215Zadanie 2
215Zadanie 3
216Zadanie 4
216Zadanie 5
216Zadanie 6
216Zadanie 7
216Zadanie 9
217Zadanie 11
217Zadanie 13
217Ćwiczenie 3
218Ćwiczenie 4
219Ćwiczenie 5
219Ćwiczenie 6
220Zadanie 1
220Zadanie 2
220Zadanie 5
221Zadanie 6
221Zadanie 9
221Zadanie 12
221Ćwiczenie 2
222Ćwiczenie 4
222Ćwiczenie 5
222Ćwiczenie 8
224Ćwiczenie 9
224Zadanie 1
224Zadanie 2
224Zadanie 4
225Zadanie 5
225Zadanie 10
225Ćwiczenie 1
227Ćwiczenie 2
227Ćwiczenie 4
228Ćwiczenie 5
228Zadanie 1
228Zadanie 2
228Zadanie 3
228Zadanie 5
229Zadanie 11
229Zadanie 12
229Ćwiczenie 1
232Ćwiczenie 2
233Ćwiczenie 3
233Ćwiczenie 4
233Zadanie 1
233Zadanie 2
234Zadanie 3
234Zadanie 4
234Zadanie 6
235Zadanie 7
235Zadanie 11
235Zadanie 12
235Ćwiczenie 3
237Ćwiczenie 4
238Zadanie 1
238Zadanie 2
238Zadanie 3
238Zadanie 4
238Zadanie 5
238Zadanie 6
238Zadanie 7
238Zadanie 8
238Ćwiczenie 1
239Ćwiczenie 3
239Ćwiczenie 4
240Ćwiczenie 6
241Zadanie 1
241Zadanie 2
241Zadanie 3
242Zadanie 7
242Zadanie 8
242Zadanie 1
243Zadanie 2
243Zadanie 4
243Zadanie 5
244Zadanie 6
244Zadanie 7
244Zadanie 8
244Zadanie 9
245Zadanie 10
245Zadanie 11
245Zadanie 15
245Zadanie 16
246Zadanie 17
246Zadanie 1
247Zadanie 2
247Zadanie 4
247Zadanie 5
247Zadanie 6
247Zadanie 8
248Zadanie 9
248Zadanie 5
248Zadanie 11
249Zadanie 12
249Zadanie 13
249Zadanie 14
249Zadanie 15
249