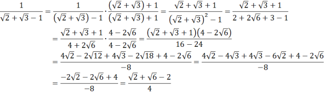
Usuń niewymierność z mianownika w ułamku
.
Wartość w mianowniku podziel na dwa wyrażenia. Zauważ, że aby pozbyć się niewymierności z mianownika musisz pomnożyć licznik i mianownik ułamka przez wartość znajdującą się w mianowniku, z przeciwnym znakiem pomiędzy wyrażeniami. W mianowniku możesz skorzystać ze wzoru skróconego mnożenia na różnicę kwadratów:
. Postąp tak dwukrotnie, a następnie zredukuj wyrazy podobne i oblicz dokładny wynik tego działania.
Ćwiczenie 1
64Ćwiczenie 2
64Ćwiczenie 3
65Ćwiczenie 4
65Zadanie 1
65Zadanie 2
65Zadanie 3
65Zadanie 4
65Ćwiczenie 1
66Ćwiczenie 2
66Ćwiczenie 3
67Ćwiczenie 4
67Ćwiczenie 5
67Ćwiczenie 6
67Ćwiczenie 7
68Ćwiczenie 8
68Zadanie 2
69Zadanie 4
69Zadanie 5
69Zadanie 6
69Zadanie 7
70Zadanie 8
70Zadanie 1
71Zadanie 1
72Zadanie 2
72Zadanie 4
72Zadanie 5
72Zadanie 6
72Ćwiczenie 1
73Ćwiczenie 2
74Zadanie 1
75Zadanie 2
75Zadanie 3
75Zadanie 4
75Zadanie 5
75Zadanie 6
76Zadanie 7
76Zadanie 8
76Zadanie 9
76Zadanie 10
76Zadanie 12
76Zadanie 13
76Ćwiczenie 1
77Ćwiczenie 2
77Ćwiczenie 3
78Zadanie 1
78Zadanie 2
78Zadanie 3
78Zadanie 4
78Zadanie 5
78Zadanie 6
78Zadanie 7
79Zadanie 8
79Zadanie 9
79Zadanie 10
79Zadanie 11
79Zadanie 1
80Zadanie 2
80Zadanie 3
80Zadanie 4
80Zadanie 5
80Zadanie 6
80Ćwiczenie 1
81Ćwiczenie 2
81Ćwiczenie 3
81Ćwiczenie 4
82Ćwiczenie 5
82Ćwiczenie 6
83Zadanie 1
83Zadanie 2
83Zadanie 3
83Zadanie 4
84Zadanie 5
84Zadanie 6
84Zadanie 7
84Zadanie 9
84Zadanie 10
84Zadanie 1
85Zadanie 3
85Zadanie 4
85Ćwiczenie 1
86Ćwiczenie 2
86Ćwiczenie 3
87Ćwiczenie 4
87Zadanie 1
87Zadanie 2
87Zadanie 3
87Zadanie 4
87Zadanie 5
87Zadanie 6
88Zadanie 7
88Zadanie 10
88Ćwiczenie 1
89Ćwiczenie 2
90Ćwiczenie 3
90Ćwiczenie 4
90Ćwiczenie 5
91Ćwiczenie 6
91Zadanie 1
92Zadanie 2
92Zadanie 3
92Zadanie 4
92Zadanie 5
92Zadanie 6
92Zadanie 7
92Zadanie 8
92Zadanie 9
93Zadanie 10
93Zadanie 11
93Zadanie 12
93Zadanie 13
93Zadanie 14
93Ćwiczenie 2
94Ćwiczenie 3
94Ćwiczenie 4
95Ćwiczenie 5
95Ćwiczenie 7
95Ćwiczenie 8
96Ćwiczenie 9
96Zadanie 1
96Zadanie 2
96Zadanie 3
97Zadanie 4
97Zadanie 5
97Zadanie 6
97Zadanie 7
97Zadanie 8
97Zadanie 9
97Zadanie 11
97Ćwiczenie 1
99Ćwiczenie 2
99Ćwiczenie 3
99Ćwiczenie 4
100Ćwiczenie 5
100Ćwiczenie 6
100Zadanie 1
101Zadanie 2
101Zadanie 3
101Zadanie 4
101Zadanie 6
101Zadanie 1
102Zadanie 2
102Zadanie 3
102Ćwiczenie 1
103Ćwiczenie 2
103Ćwiczenie 3
104Ćwiczenie 4
104Ćwiczenie 5
104Ćwiczenie 6
104Zadanie 1
103Zadanie 2
105Zadanie 3
105Zadanie 4
105Zadanie 5
105Zadanie 6
105Zadanie 8
105Zadanie 1
106Ćwiczenie 1
107Ćwiczenie 3
108Ćwiczenie 4
108Zadanie 1
109Zadanie 2
109Zadanie 3
109Zadanie 4
109Zadanie 5
109Zadanie 6
109Zadanie 8
109Zadanie 1
110Zadanie 2
111Zadanie 3
111Zadanie 4
112Zadanie 5
112Zadanie 7
113Zadanie 8
113Zadanie 2
114Zadanie 3
114Zadanie 4
114Zadanie 5
114Zadanie 6
114Zadanie 7
114Zadanie 8
114Zadanie 1
115Zadanie 2
115Zadanie 3
115Zadanie 4
115Zadanie 5
115Zadanie 6
115Zadanie 1
116Zadanie 4
116Zadanie 5
116