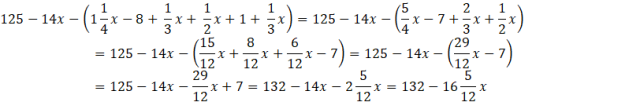
W tym zadaniu musisz zapisać wyrażenie algebraiczne opisujące długość wyróżnionego boku figury przedstawionej na rysunku, skoro jej obwód wynosi 125 – 14x.
Obwód to suma długości boków figury. Wystarczy, że od obwodu odejmiesz podane boki, a otrzymasz bok brakujący.
Ćwiczenie 1.
150Ćwiczenie 2.
151Zadanie 1.
151Zadanie 2.
151Zadanie 3.
151Zadanie 4.
152Zadanie 5.
152Zadanie 6.
152Zadanie 7.
152Zadanie 9.
152Zadanie 12.
152Zadanie 19.
153Zadanie 26.
154Zadanie 28.
154Zadanie 29.
155Ćwiczenie 2.
156Ćwiczenie 4.
157Zadanie 1.
158Zadanie 3.
158Zadanie 4.
158Zadanie 5.
158Zadanie 6.
158Zadanie 7.
159Zadanie 8.
159Zadanie 12.
159Zadanie 13.
159Zadanie 14.
159Zadanie 15.
160Zadanie 16.
160Zadanie 17.
160Zadanie 19.
160Zadanie 20.
160Zadanie 23.
161Ćwiczenie 1.
162Ćwiczenie 2.
163Ćwiczenie 3.
163Ćwiczenie 5.
164Ćwiczenie 6.
165Zadanie 1.
165Zadanie 2.
165Zadanie 3.
165Zadanie 4.
165Zadanie 6.
165Zadanie 7.
166Zadanie 9.
166Zadanie 11.
166Ćwiczenie 1.
168Zadanie 1.
168Zadanie 2.
169Zadanie 3.
169Zadanie 4.
169Zadanie 10.
169Ćwiczenie 1.
172Ćwiczenie 2.
173Zadanie 3.
173Zadanie 4.
173Zadanie 5.
173Zadanie 6.
174Zadanie 7.
174Zadanie 8.
174Zadanie 9.
174Zadanie 10.
174Zadanie 11.
174Zadanie 12.
174Zadanie 13.
174Zadanie 16.
175Zadanie Czy to już potrafisz? 5.
175Ćwiczenie 1.
177Ćwiczenie 2.
177Ćwiczenie 3.
178Zadanie 3.
178Zadanie 4.
178Zadanie 5.
178Zadanie 6.
178Zadanie 7.
178Zadanie 8.
179Zadanie 10.
179Zadanie Czy to już potrafisz? 3.
179Zadanie Czy to już potrafisz? 4.
179Zadanie 7.
180Zadanie 8.
180Zadanie 9.
180Zadanie 10.
181Zadanie 13.
181Zadanie 14.
181Zadanie 15.
181Zadanie 16.
182Zadanie 17.
182Zadanie 18.
182Zadanie 19.
182Zadanie 21.
182Zadanie 22.
182Zadanie 1.
148Zadanie 2.
148Zadanie 3.
148Zadanie 4.
148Zadanie 6.
148