Redukcja
Utlenianie
Równanie w formie jonowej:
Równanie tej reakcji w formie cząsteczkowej:
W procesie redukcji jony MnO4- zmieniają się w jony Mn2+, więc należy „odebrać tlen” i w środowisku kwasowym służą do tego jony H+. Jony te łączą się z tlenem i tworzą wodę. Połówkowe równanie redukcji można zapisać następująco:
Liczba elektronów pobranych przez mangan została ustalona na podstawie:
– porównania stopnia utlenienia manganu w jonach MnO4- i Mn2+ (7-2 = 5);
– porównania sumarycznych ładunków po obu stronach równania (7-2 = 5).
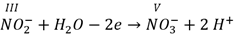
W procesie utleniania jony NO2- zmieniają się w jony NO3-‑ więc trzeba im „dostarczyć tlenu” i w środowisku kwasowym służy do tego woda. Równanie redukcji można zapisać następująco:
Liczba elektronów oddanych przez azot została ustalona na podstawie:
– porównania stopnia utlenienia azotu w jonach NO3- i NO2- (5-3 = 2);
– porównania sumarycznych ładunków po obu stronach równania (1-(-1) = 2).
W celu przeprowadzenia bilansu jonowo-elektronowego należy zestawić razem oba równania połówkowe i ustalić współczynniki, które doprowadzą liczby oddawanych i przyjmowanych elektronów do najmniejszej wspólnej wielokrotności:
Redukcja
Utlenianie
Po zsumowaniu równań połówkowych otrzymujemy równanie reakcji w formie jonowej:
Jeśli uwzględnimy wszystkie jony obecne w roztworze, możemy zapisać równanie tej reakcji w formie cząsteczkowej: