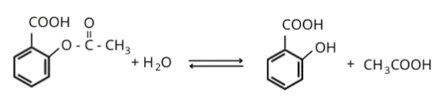
W tej reakcji powstaje kwas salicylowy i kwas octowy. Metodą pozwalającą na wykrycie kwasu salicylowego jest reakcja z chlorkiem żelaza(III). Obecność fenolu w związku wywoła fioletowo-niebieskie zabarwienie. Z kolei kwas octowy ma charakterystyczny, ostry zapach octu.
Kwas salicylowy tworzy z solami żelaza(III), np. FeCl3, kompleksy o charakterystycznym, fioletowym zabarwieniu. Zdanie to jest fałszywe. Opisana reakcja z jonami Fe3+ jest charakterystyczna dla fenoli. Fenol to związek, w którym grupa -OH jest związana bezpośrednio z pierścieniem aromatycznym.