Krok 1: Zapisz dane. Informację o stężeniu uzyskujemy z treści zadania, a stała dysocjacji (K) dla kwasu mrówkowego jest dostępna w tablicach maturalnych.
C = 0,1 mol/dm3
K = 1,78 ∙ 10-4
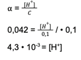
Krok 2: Zastanów się, czym jest pH. Jest to wartość równa ujemnemu logarytmowi ze stężenia jonów wodorowych. Stężenie jonów H+ dostępne jest we wzorze na stałą dysocjacji (α):
α = [H+] : C
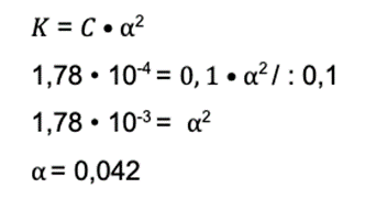
Do użycia wzoru brakuje nam również wartości stałej dysocjacji. Obliczamy ją ze wzoru:
Według prawa rozcieńczeń Ostwalda, gdy iloraz stężenia i stałej dysocjacji K jest większy niż 400, można skorzystać ze wzoru uproszczonego na K i pominąć mianownik równania:
Korzystamy z uproszczonego wzoru i rozwiązujemy równanie:
Krok 3: Mamy dostępną wartość stopnia dysocjacji i stężenie. Wracamy do początku punktu drugiego i rozwiązujemy równanie:
Krok 4: Wartość stężenia jonów wodorowych podstawiamy do wzoru na pH.
pH = -log[H+] = -log(4,3 ∙ 10-3) = 2,37