A: 3-metylopropan-1-ol
B: 1-etylo-2-metylo-butan-1-ol
C: 1,2,2-trimetylobutan-1-ol
D: 3-etylo-4-metyloheksan-3-ol
Do alkoholi drugorzędowych zaliczamy związki B i C.
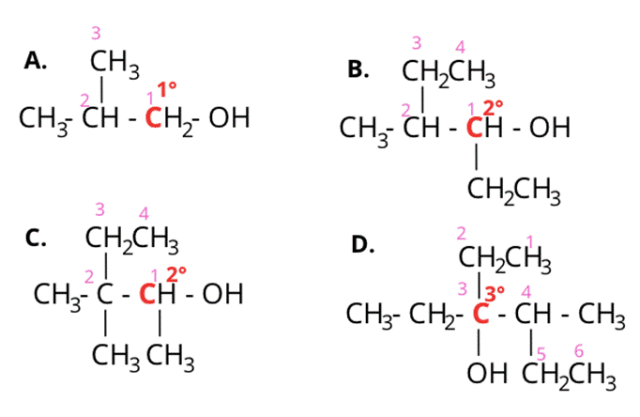
Najpierw nazwij związki.
Krok 1: Ustal liczbę atomów węgla w łańcuchu głównym dla każdego ze związków. Grupę -C2H5 rozwiń jako -CH2CH3. Chcemy, by łańcuch główny był jak najdłuższy. Stąd w związku A są trzy atomy węgla w łańcuchu głównym (propan), w związku B i C – cztery (butan), a w związku D – sześć (heksan).
Krok 2: Ustal miejsce podstawników metylowych, etylowych i grupy wodorotlenkowej. Grupa -OH ma pierwszeństwo w nazewnictwie i chcemy, by jej lokant był jak najniższy. Następnie kierujemy się kolejnością alfabetyczną.
W związku A grupa -OH jest przy pierwszym atomie węgla, a grupa metylowa przy trzecim.
W związku B grupa -OH i grupa etylowa są przy pierwszym atomie węgla, a grupa metylowa przy drugim.
W związku C grupa -OH jest przy pierwszym atomie węgla, a grupy metylowe przy pierwszym i drugim.
W związku D grupa -OH i grupa etylowa są przy trzecim atomie węgla, a grupa metylowa przy czwartym.
Krok 3: Połączenie nazwy szkieletu i lokalizacji podstawników.
A: 3-metylopropan-1-ol
B: 1-etylo-2-metylo-butan-1-ol
C: 1,2,2-trimetylobutan-1-ol
D: 3-etylo-4-metyloheksan-3-ol
W drugiej części polecenia należy wyznaczyć alkohole 2°. Alkohol drugorzędowy to taki, który łączy się z drugorzędowym atomem węgla. Węgiel pierwszorzędowy to taki, który ma połączenie z jednym innym atomem węgla. Analogicznie – węgiel drugorzędowy ma połączenie z dwoma atomami węgla itd.
Rzędowość atomów węgla przy grupie -OH zaznaczono na ilustracji na czerwono. Łańcuchy główne ponumerowano na różowo.