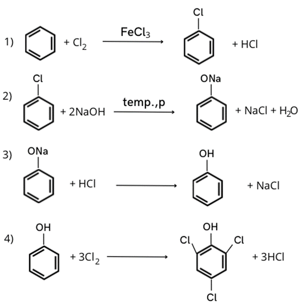
Reakcja pierwsza to substytucja elektrofilowa. Atom chloru zostaje przyłączony do pierścienia aromatycznego. Produktem ubocznym tej reakcji jest chlorowodór.
Druga reakcja polega na wypieraniu podstawnika, jakim jest atom chloru, na grupę -ONa. Produktem ubocznym jest sól (chlorek sodu) i woda.
Trzecia reakcja to klasyczna reakcja sól + kwas. Fenol jest słabym kwasem, kwas chlorowodorowy jest od niego mocniejszy i wypiera go z soli. Reakcja zachodzi zgodnie ze schematem: fenolan sodu + kwas chlorowodorowy → fenol + chlorek sodu
Czwarta reakcja to również reakcja substytucji elektrofilowej. Jest to chlorowanie fenolu. Grupa -OH w fenolu jest podstawnikiem pierwszego rodzaju, co powoduje, że atomy chloru kierują się w pozycję orto- i para- (2 i 6). Fenol jest związkiem bardzo reaktywnym i produktem chlorowania fenolu jest 2,4,6-trichlorofenol.