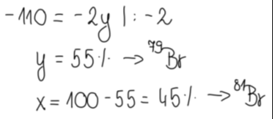
Zadanie

Wyznacz procentową zawartość izotopu 81Br w naturalnym bromie, przyjmując, że brom składa się wyłącznie z dwóch izotopów różniących się liczbą neutronów o 2. Zaokrąglij wynik do jednego miejsca po przecinku.

Rozwiązanie

Wyjaśnienie

Zadania z tego działu
Budowa atomu. Układ okresowy pierwiastków chemicznych
13
1. Budowa atomu
14
6. Konfiguracja elektronowa atomów
56
7. Budowa układu okresowego pierwiastków chemicznych
66