Rozwiąż równanie
Aby obliczyć równanie, przenieś wszystkie niewiadome (w tym zadaniu dana jest niewiadoma x) na lewą stronę, a wiadome na prawą stronę. Podczas przenoszenia pamiętaj zmienić znak.
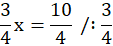
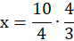
Pozbądź się liczby przy x poprzez podzielenie równania przez liczbę znajdującą się przy x.
Żeby sprawdzić rozwiązanie, podłóż wynik równania pod x. Następnie poprzez obliczenia sprawdź, czy wynik będzie równy drugiej stronie.
Ćwiczenie 1.
67Ćwiczenie 2.
68Ćwiczenie 3.
69Zadanie 1.
69Zadanie 2.
70Zadanie 3.
70Zadanie 6.
70Ćwiczenie 1.
74Ćwiczenie 3.
75Ćwiczenie 4.
76Ćwiczenie 5.
77Ćwiczenie 6.
77Ćwiczenie 7.
78Zadanie 1.
79Zadanie 2.
79Zadanie 3.
79Zadanie branżowe 4.
79Ćwiczenie 1.
80Ćwiczenie 2.
81Ćwiczenie 3.
81Ćwiczenie 4.
82Ćwiczenie 5.
83Ćwiczenie 6.
83Zadanie 1.
83Zadanie 2.
83Zadanie 3.
83Ćwiczenie 1.
84Zadanie 2.
86Zadanie 1.
87Zadanie 4.
88Zadanie 6.
88