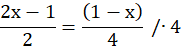
W tym zadaniu rozwiąż równanie
Pomnóż równanie przez liczbę po prawej stronie.
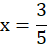
Aby obliczyć równanie, przenieś wszystkie niewiadome (w tym zadaniu dana jest niewiadoma x) na lewą stronę, a wiadome na prawą stronę. Podczas przenoszenia pamiętaj zmienić znak.
Pozbądź się liczby przy x poprzez podzielenie równania przez liczbę znajdującą się przy x.
Ćwiczenie 1.
67Ćwiczenie 2.
68Ćwiczenie 3.
69Zadanie 1.
69Zadanie 2.
70Zadanie 3.
70Zadanie 6.
70Ćwiczenie 1.
74Ćwiczenie 3.
75Ćwiczenie 4.
76Ćwiczenie 5.
77Ćwiczenie 6.
77Ćwiczenie 7.
78Zadanie 1.
79Zadanie 2.
79Zadanie 3.
79Zadanie branżowe 4.
79Ćwiczenie 1.
80Ćwiczenie 2.
81Ćwiczenie 3.
81Ćwiczenie 4.
82Ćwiczenie 5.
83Ćwiczenie 6.
83Zadanie 1.
83Zadanie 2.
83Zadanie 3.
83Ćwiczenie 1.
84Zadanie 2.
86Zadanie 1.
87Zadanie 4.
88Zadanie 6.
88