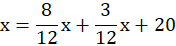
W tym zadaniu oblicz ile Ida miała pieniędzy na początku, jeśli zostało jej 20 zł, ponieważ
x – początkowe pieniądze Idy
Oznacz początkową ilość pieniędzy Idy jako x. Aby wyliczyć x, dodaj do siebie
Aby obliczyć równanie, przenieś wszystkie niewiadome na lewą stronę, a wiadome na prawą stronę. Podczas przenoszenia pamiętaj zmienić znak. Pozbądź się liczby przy x poprzez podzielenie równania przez liczbę znajdującą się przy x.
Ćwiczenie 1.
67Ćwiczenie 2.
68Ćwiczenie 3.
69Zadanie 1.
69Zadanie 2.
70Zadanie 3.
70Zadanie 6.
70Ćwiczenie 1.
74Ćwiczenie 3.
75Ćwiczenie 4.
76Ćwiczenie 5.
77Ćwiczenie 6.
77Ćwiczenie 7.
78Zadanie 1.
79Zadanie 2.
79Zadanie 3.
79Zadanie branżowe 4.
79Ćwiczenie 1.
80Ćwiczenie 2.
81Ćwiczenie 3.
81Ćwiczenie 4.
82Ćwiczenie 5.
83Ćwiczenie 6.
83Zadanie 1.
83Zadanie 2.
83Zadanie 3.
83Ćwiczenie 1.
84Zadanie 2.
86Zadanie 1.
87Zadanie 4.
88Zadanie 6.
88