| Jak spędzasz wolny czas? | Liczba wskazań | Ułamek | Procent |
| sport | 24 |
| 16% |
| telewizja | 60 |
| 40% |
| książka | 21 |
| 14% |
| komputer | 45 |
| 30% |
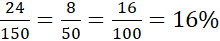
Aby zapisać podaną liczbę wskazań na sport w postaci ułamka, wystarczy podzielić liczbę oddanych głosów na sport przez liczbę wszystkich oddanych głosów. Otrzymujemy następujący ułamek:
Aby policzyć, ile osób oddało głos na komputer. Od wszystkich osób, wśród których przeprowadzono ankietę, należy odjąć liczbę głosów na sport, telewizję oraz książkę.
150 – 24 – 60 – 21 = 45. Z przeprowadzonych obliczeń wynika, że na komputer zagłosowało 45 osób. Teraz uzyskany wynik wystarczy zapisać w postaci ułamka oraz procentu: