50% to połowa
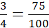
75% to trzy czwarte
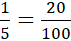
20% to jedna piąta
25% to ćwierć
10% to jedna dziesiąta
Ponieważ połowa wyrażona w ułamku zwykłym to
Ponieważ trzy czwarte wyrażone w ułamku zwykłym to
Ponieważ jedna piąta wyrażona w ułamku zwykłym to
Ponieważ ćwierć wyrażona w ułamku zwykłym to
Ponieważ jedna dziesiąta wyrażona w ułamku zwykłym to