W tym zadaniu musisz zapisać podane procenty w postaci ułamków, których nie da się już bardziej skrócić.
Rozwiązanie
Wyjaśnienie
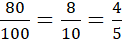
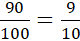
W pierwszym kroku zapisz podane procenty w postaci ułamka zwykłego. Otrzymujemy kolejno: , , . Teraz musisz zapisać te ułamki w taki sposób, aby nie dało się bardziej podzielić mianownika i licznika. Ułamek możemy podzielić przez 10. Po podzieleniu go uzyskujemy: . Nadal jest to ułamek skracalny, ponieważ możemy go podzielić przez 2. Ponownie skracamy ułamek w wyniku czego otrzymujemy ułamek nieskracalny . Nie jesteśmy w stanie bardziej skrócić już tego ułamka. Pozostałe dwa ułamki skracalne zmieniamy w taki sam sposób na ułamki nieskracalne: