– Pani Barbara ma 28 kapeluszy i 21 z nich jest przybranych kwiatami. Kapelusze z kwiatami stanowią 75% kapeluszy pani Barbary.
– Wśród 30 osób występujących w konkursie piosenki aż 6 fałszowało. To znaczy, że 20% śpiewających fałszowało.
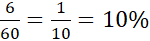
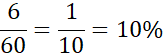
– 60 uczestników wycieczki 54 było zadowolonych z przewodnika. To znaczy, że 10% wycieczkowiczów źle oceniło przewodnika.
Aby obliczyć, ile procent stanowią kapelusze z kwiatami, musisz podzielić liczbę kapeluszy z kwiatami przez wszystkie kapelusze pani Barbary. Otrzymujemy zatem:
Aby obliczyć, ile procent śpiewających fałszowało, podziel liczbę fałszujących osób przez wszystkich uczestników konkursu:
Aby obliczyć, ile procent wycieczkowiczów źle oceniło przewodnika, najpierw musisz poznać liczbę uczestników, którzy byli niezadowoleni. Odejmij od wszystkich uczestników wycieczki osoby, które były zadowolone: 60 – 54 = 6 Teraz wystarczy, że podzielisz uzyskany wynik przez wszystkich uczestników wycieczki. Otrzymujemy zatem: