W tym zadaniu musisz powiedzieć, na ile części dziewczynka podzieliła liczbę stron i ile stron mogła mieć książka.
Książka miała 90 stron. Dziewczynce nie udało się podzielić książki na równe części. Podzieliła je na:
Aby wykonać to zadanie, musisz sprowadzić ułamki do wspólnego mianownika.
Po rozszerzeniu ułamka
Po rozszerzeniu ułamka
Po rozszerzeniu ułamka ⅓ w mianowniku możemy otrzymać liczby 6, 9, 12, 15, 18, 21, 24, 27, 30, 33, 36, 39, 42, 45, 48, 51, 54, 57, 60, 63, 66, 69, 72, 75, 78, 81, 84, 87, 90…
Odczytaj, że najmniejszą wspólną wielokrotnością jest 90.
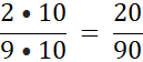
Rozszerzamy ułamki tak, aby w mianownikach otrzymać liczbę 90:
Ćwiczenie 1
68Ćwiczenie 2
69Ćwiczenie 3
70Ćwiczenie 4
70Ćwiczenie 5
71Zadanie 1
73Zadanie 2
72Zadanie 3
72Zadanie 4
72Zadanie 5
72Ćwiczenie 1
74Ćwiczenie 2
74Ćwiczenie 3
74Zadanie 1
75Zadanie 8
75Zadanie 9
75Ćwiczenie 1
77Zadanie 1
79Zadanie 3
79Zadanie 6
79Ćwiczenie 2
81Ćwiczenie 4
82Ćwiczenie 5
82Ćwiczenie 1
85Ćwiczenie 2
86Zadanie 1
87Zadanie 2
87Zadanie 3
87Zadanie 6
87Ćwiczenie 1
88Ćwiczenie 2
88Zadanie 1
89Ćwiczenie 1
90Ćwiczenie 2
91Ćwiczenie 3
91Ćwiczenie 4
91Ćwiczenie 5
92Zadanie 3
93Zadanie 5
93Zadanie 6
93Zadanie 7
93Ćwiczenie 1
95Zadanie 4
96Zadanie 5
96Ćwiczenie 1
98Zadanie 5
99Zadanie 7
99Zadanie 8
99Ćwiczenie 1
101Ćwiczenie 2
101Ćwiczenie 3
102Ćwiczenie 4
102Zadanie 7
103Ćwiczenie 1
104Ćwiczenie 2
105Ćwiczenie 3
105Zadanie 4
105Zadanie 6
106Zadanie 7
106Zadanie 10
106Ćwiczenie 109
109Zadanie 7
109Zadanie 6
112Zadanie 12
112