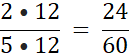
W tym zadaniu musisz rozszerzyć ułamek ⅖ tak, aby w liczniku otrzymać liczbę 24.
Na początku musisz poszukać liczby, przez którą należy pomnożyć 2, aby otrzymać 24. Należy to zrobić tak:
Ćwiczenie 1
68Ćwiczenie 2
69Ćwiczenie 3
70Ćwiczenie 4
70Ćwiczenie 5
71Zadanie 1
73Zadanie 2
72Zadanie 3
72Zadanie 4
72Zadanie 5
72Ćwiczenie 1
74Ćwiczenie 2
74Ćwiczenie 3
74Zadanie 1
75Zadanie 8
75Zadanie 9
75Ćwiczenie 1
77Zadanie 1
79Zadanie 3
79Zadanie 6
79Ćwiczenie 2
81Ćwiczenie 4
82Ćwiczenie 5
82Ćwiczenie 1
85Ćwiczenie 2
86Zadanie 1
87Zadanie 2
87Zadanie 3
87Zadanie 6
87Ćwiczenie 1
88Ćwiczenie 2
88Zadanie 1
89Ćwiczenie 1
90Ćwiczenie 2
91Ćwiczenie 3
91Ćwiczenie 4
91Ćwiczenie 5
92Zadanie 3
93Zadanie 5
93Zadanie 6
93Zadanie 7
93Ćwiczenie 1
95Zadanie 4
96Zadanie 5
96Ćwiczenie 1
98Zadanie 5
99Zadanie 7
99Zadanie 8
99Ćwiczenie 1
101Ćwiczenie 2
101Ćwiczenie 3
102Ćwiczenie 4
102Zadanie 7
103Ćwiczenie 1
104Ćwiczenie 2
105Ćwiczenie 3
105Zadanie 4
105Zadanie 6
106Zadanie 7
106Zadanie 10
106Ćwiczenie 109
109Zadanie 7
109Zadanie 6
112Zadanie 12
112