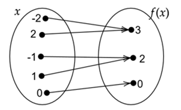
Funkcję
, która jest pokazana za pomocą tabeli przedstaw za pomocą grafu i podaj jej miejsca zerowe.
Narysuj graf. Z lewej strony zapisz argumenty funkcji:
, a z prawej jej wartości:
i na podstawie tabeli połącz odpowiadające sobie argumenty z wartościami funkcji.
Następnie zapisz miejsce zerowe podanej funkcji, czyli odczytaj z grafu dla jakiego argumentu
wartość funkcji
jest równa 0.
Ćwiczenie 2
147Ćwiczenie 4
148Ćwiczenie 5
148Ćwiczenie 6
149Zadanie 1
149Zadanie 2
149Zadanie 3
149Zadanie 4
150Zadanie 5
150Zadanie 7
150Zadanie 8
150Zadanie 9
150Zadanie 2
151Zadanie 4
151Ćwiczenie 2
152Ćwiczenie 3
153Ćwiczenie 4
154Ćwiczenie 5
155Ćwiczenie 6
155Zadanie 1
156Zadanie 2
156Zadanie 3
156Zadanie 4
156Zadanie 5
156Zadanie 6
156Zadanie 7
156Ćwiczenie 1
157Ćwiczenie 2
157Ćwiczenie 3
158Ćwiczenie 4
158Ćwiczenie 5
158Ćwiczenie 6
159Ćwiczenie 7
159Ćwiczenie 8
159Ćwiczenie 9
160Zadanie 1
160Zadanie 2
160Zadanie 4
160Zadanie 5
161Zadanie 6
161Zadanie 7
161Zadanie 8
161Zadanie 9
161Zadanie 10
161Zadanie 11
161Ćwiczenie 1
163Ćwiczenie 2
163Ćwiczenie 3
164Zadanie 1
165Zadanie 3
165Zadanie 4
165Zadanie 5
165Zadanie 1
166Ćwiczenie 1
167Ćwiczenie 2
168Zadanie 1
169Zadanie 2
170Zadanie 3
170Zadanie 4
170Zadanie 5
170Zadanie 6
170Zadanie 7
170Zadanie 8
170Ćwiczenie 1
171Ćwiczenie 2
172Ćwiczenie 3
172Zadanie 1
173Zadanie 2
173Zadanie 3
173Zadanie 4
173Zadanie 5
173Zadanie z infografiką 1
174Ćwiczenie 1
175Zadanie 1
176Zadanie 2
176Zadanie 3
176Zadanie 5
176Zadanie 6
176Zadanie 7
176Ćwiczenie 1
177Ćwiczenie 2
178Ćwiczenie 3
178Ćwiczenie 4
178Zadanie 1
179Zadanie 2
179Zadanie 3
179Zadanie 4
179Zadanie 5
179Zadanie 6
179Zadanie 7
179Zadanie 8
180Zadanie 9
180Zadanie 10
180Zadanie 11
180Zadanie 12
180Zadanie 13
180Ćwiczenie 1
182Ćwiczenie 2
182Ćwiczenie 3
182Ćwiczenie 4
183Ćwiczenie 5
183Ćwiczenie 6
183Zadanie 1
183Zadanie 2
183Zadanie 3
183Zadanie 4
184Zadanie 5
184Zadanie 7
184Zadanie 8
184Zadanie 1
187Zadanie 2
187Zadanie 3
187Zadanie 4
187Zadanie 6
187Ćwiczenie 3
189Zadanie 1
190Zadanie 3
190Zadanie 5
190Zadanie 1
191Zadanie 2
191Zadanie 3
191Zadanie 4
191Zadanie 5
191Zadanie 7
192Zadanie 8
192Zadanie 1
192Zadanie 2
192Zadanie 3
192Zadanie 4
192Zadanie 5
193Zadanie 6
193Zadanie 7
193Zadanie 8
193Zadanie 10
193