Skul.pl
  • Opracowania zadań z podręczników
  • Matematyka. Klasa 8. Zeszyt ćwiczeń - rozwiązania i odpowiedzi
  • Zadanie 1.

Matematyka. Klasa 8. Zeszyt ćwiczeń - rozwiązania i odpowiedzi

Zeszyt ćwiczeń, Wydawnictwo: WSiP
Poprzednie

Zadanie 1. - strona 55

Następne

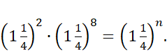
Zadanie

Ile jest równe n?

A. n = 2

B. n = 16

C. n = 5

D. n = 10

Rozwiązanie

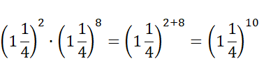
Odpowiedź: D. n = 10.

Skul

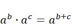
Wyjaśnienie

Skorzystaj z następującej własności potęg: .

Poprzednie
Następne

Matematyka - wybrane pytania

Zadanie 1, strona 221, Matematyka. Klasa 5. Podręcznik – rozwiązania i odpowiedzi
Zadanie Czy to już potrafisz? 2., strona 23, Matematyka. Klasa 7. Podręcznik – rozwiązania i odpowiedzi
Zadanie 19, strona 97, MATeMAtyka. Klasa 3. Zbiór zadań. Zakres podstawowy i rozszerzony – rozwiązania i odpowiedzi
Zadanie 4.22., strona 36, Prosto do matury. Matematyka. Klasa 2. Podręcznik. Zakres podstawowy i rozszerzony – rozwiązania i odpowiedzi
Zadanie 4., strona 250, Matematyka z plusem. Klasa 3. Podręcznik. Zakres rozszerzony – rozwiązania i odpowiedzi
Zadanie Czy już umiem? I, strona 78, Matematyka z kluczem. Klasa 6. Podręcznik. Część 2 - rozwiązania i odpowiedzi
Zadanie otwarte 4, strona 79, Matematyka wokół nas. Klasa 5. Zbiór zadań – rozwiązania i odpowiedzi
Zadanie 4., strona 149, Matematyka. Klasa 1. Podręcznik. Zakres rozszerzony. Część 2 – rozwiązania i odpowiedzi
Ćwiczenie 29, strona 245, Matematyka i przykłady jej zastosowań. Klasa 1.Podręcznik. Zakres podstawowy i rozszerzony - rozwiązania i odpowiedzi
Zadanie 1.109, strona 23, Matematyka. Klasa 1. Zakres podstawowy. Zbiór zadań - rozwiązania i odpowiedzi
REKLAMA
Skul
Zadania z tego działu
6. Potęgi
54
6.1 Potęga o wykładniku naturalnym
54

Zadanie 1.

54

Zadanie 2.

54

Zadanie 3.

54

Zadanie 4.

54
6.2 Mnożenie i dzielenie potęg o tej samej podstawie
55

Zadanie 1.

55

Zadanie 2.

55

Zadanie 3.

55

Zadanie 4.

55

Podpunkt a)

55

Podpunkt b)

55

Podpunkt c)

55

Podpunkt d)

55

Podpunkt e)

55
6.3 Mnożenie i dzielenie potęg o tym samym wykładniku
56

Zadanie 1.

56

Zadanie 2.

56

Podpunkt a)

56

Podpunkt b)

56

Podpunkt c)

56

Podpunkt d)

56

Zadanie 3.

56

Podpunkt a)

56

Podpunkt b)

56

Podpunkt c)

56

Podpunkt d)

56

Podpunkt e)

56
6.4 Potęga potęgi
57

Zadanie 1.

57

Zadanie 2.

57

Zadanie 3.

57

Zadanie 4.

57

Podpunkt a)

57

Podpunkt b)

57

Podpunkt c)

57

Podpunkt d)

57

Podpunkt e)

57
6.5 Notacja wykładnicza
58

Zadanie 1.

58

Zadanie 2.

58

Zadanie 3.

58

Zadanie 4.

58

Podpunkt a)

58

Podpunkt b)

58

Podpunkt c)

58

Podpunkt d)

58

Zadanie 5.

59

Zadanie 6.

59

Podpunkt a)

59

Podpunkt b)

59

Podpunkt c)

59

Zadanie 7.

59
Pełny spis treści
Skul
Artboard 1
Skul.pl
  • Napisz do nas
  • FAQ
  • Mapa Serwisu
  • Google Play
  • App Store

Korzystanie z portalu oznacza akceptację Regulaminu.
Polityka prywatności. Ustawienia preferencji. Copyright: INTERIA.PL 1999-2023 Wszystkie prawa zastrzeżone.