Skul.pl
  • Opracowania zadań z podręczników
  • Matematyka. Klasa 8. Zeszyt ćwiczeń - rozwiązania i odpowiedzi
  • Zadanie 3.

Matematyka. Klasa 8. Zeszyt ćwiczeń - rozwiązania i odpowiedzi

Zeszyt ćwiczeń, Wydawnictwo: WSiP
Poprzednie

Zadanie 3. - strona 57

Następne

Zadanie

Ile jest równe wyrażenie , gdzie ?

A. 2

B.

C.

D. 32

Rozwiązanie

Odpowiedź: A. 2

Skul

Wyjaśnienie

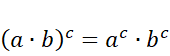
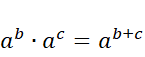
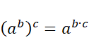
Skorzystaj z tego, że , , .

Poprzednie
Następne

Matematyka - wybrane pytania

Zadanie 27., strona 100, Matematyka z kluczem. Klasa 8. Zbiór zadań – rozwiązania i odpowiedzi
Zadanie 20, strona 150, Matematyka. Klasa 2. Zbiór zadań. Zakres rozszerzony – rozwiązania i odpowiedzi
Zadanie 16., strona 129, Matematyka. Klasa 1. Podręcznik. Zakres podstawowy - rozwiązania i odpowiedzi
Zadanie 8., strona 59, Matematyka. Klasa 4. Podręcznik – rozwiązania i odpowiedzi
Zadanie 7.24., strona 170, Matematyka i przykłady jej zastosowań. Klasa 1. Podręcznik. Zakres podstawowy – rozwiązania i odpowiedzi
Zadanie 17, strona 201, Matematyka. Klasa 5. Podręcznik - rozwiązania i odpowiedzi
Ćwiczenie 16., strona 85, Matematyka. Klasa 5. Zeszyt ćwiczeń. Część 2 - rozwiązania i odpowiedzi
Ćwiczenie 8., strona 175, Matematyka. Klasa 4. Podręcznik – rozwiązania i odpowiedzi
Zadanie 4.4., strona 103, Matematyka. Klasa 3. Zbiór zadań. Zakres rozszerzony – rozwiązania i odpowiedzi
Zadanie 13., strona 289, Matematyka z plusem. Klasa 3. Podręcznik. Zakres rozszerzony – rozwiązania i odpowiedzi
REKLAMA
Skul
Zadania z tego działu
6. Potęgi
54
6.1 Potęga o wykładniku naturalnym
54

Zadanie 1.

54

Zadanie 2.

54

Zadanie 3.

54

Zadanie 4.

54
6.2 Mnożenie i dzielenie potęg o tej samej podstawie
55

Zadanie 1.

55

Zadanie 2.

55

Zadanie 3.

55

Zadanie 4.

55

Podpunkt a)

55

Podpunkt b)

55

Podpunkt c)

55

Podpunkt d)

55

Podpunkt e)

55
6.3 Mnożenie i dzielenie potęg o tym samym wykładniku
56

Zadanie 1.

56

Zadanie 2.

56

Podpunkt a)

56

Podpunkt b)

56

Podpunkt c)

56

Podpunkt d)

56

Zadanie 3.

56

Podpunkt a)

56

Podpunkt b)

56

Podpunkt c)

56

Podpunkt d)

56

Podpunkt e)

56
6.4 Potęga potęgi
57

Zadanie 1.

57

Zadanie 2.

57

Zadanie 3.

57

Zadanie 4.

57

Podpunkt a)

57

Podpunkt b)

57

Podpunkt c)

57

Podpunkt d)

57

Podpunkt e)

57
6.5 Notacja wykładnicza
58

Zadanie 1.

58

Zadanie 2.

58

Zadanie 3.

58

Zadanie 4.

58

Podpunkt a)

58

Podpunkt b)

58

Podpunkt c)

58

Podpunkt d)

58

Zadanie 5.

59

Zadanie 6.

59

Podpunkt a)

59

Podpunkt b)

59

Podpunkt c)

59

Zadanie 7.

59
Pełny spis treści
Skul
Artboard 1
Skul.pl
  • Napisz do nas
  • FAQ
  • Mapa Serwisu
  • Google Play
  • App Store

Korzystanie z portalu oznacza akceptację Regulaminu.
Polityka prywatności. Ustawienia preferencji. Copyright: INTERIA.PL 1999-2023 Wszystkie prawa zastrzeżone.