Skul.pl
  • Opracowania zadań z podręczników
  • Matematyka. Klasa 8. Zeszyt ćwiczeń - rozwiązania i odpowiedzi
  • Zadanie 1.

Matematyka. Klasa 8. Zeszyt ćwiczeń - rozwiązania i odpowiedzi

Zeszyt ćwiczeń, Wydawnictwo: WSiP
Poprzednie

Zadanie 1. - strona 57

Następne

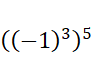
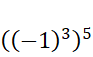
Zadanie

Wskaz, które wyrażenie jest różne od 1.

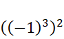
A.

B.

C.

D.

Rozwiązanie

Odpowiedź: A.

Skul

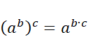
Wyjaśnienie

Skorzystaj z własności działań na potęgach .

Poprzednie
Następne

Matematyka - wybrane pytania

Zadanie 6.17., strona 48, Prosto do matury. Matematyka. Klasa 2. Podręcznik. Zakres podstawowy i rozszerzony – rozwiązania i odpowiedzi
Zadanie 22., strona 140, MATeMAtyka 1. Zakres podstawowy i rozszerzony. Zbiór zadań – rozwiązania i odpowiedzi
Przykład 4., strona 268, Matematyka z Plusem. Klasa 1. Podręcznik. Poziom rozszerzony – rozwiązania i odpowiedzi
Zadanie 5., strona 62, Matematyka z kluczem. Klasa 7. Zbiór zadań - rozwiązania i odpowiedzi
Zadanie 6., strona 57, Prosto do matury 3. Zakres podstawowy. Podręcznik - rozwiązania i odpowiedzi
Zadanie sprawdzające 1, strona 9, Matematyka z plusem. Klasa 7. Zbiór zadań – rozwiązania i odpowiedzi
Zadanie 17, strona 16, Matura próbna z matematyki. Poziom podstawowy. Marzec 2026
Zadanie Minisprawdzian 1, strona 168, Matematyka z plusem. Klasa 2. Podręcznik. Zakres podstawowy - rozwiązania i odpowiedzi
Zadanie 19, strona 165, MATeMAtyka. Klasa 3. Zbiór zadań. Zakres podstawowy i rozszerzony – rozwiązania i odpowiedzi
Zadanie 18., strona 181, Matematyka. Klasa 3. Podręcznik. Zakres podstawowy - rozwiązania i odpowiedzi
REKLAMA
Skul
Zadania z tego działu
6. Potęgi
54
6.1 Potęga o wykładniku naturalnym
54

Zadanie 1.

54

Zadanie 2.

54

Zadanie 3.

54

Zadanie 4.

54
6.2 Mnożenie i dzielenie potęg o tej samej podstawie
55

Zadanie 1.

55

Zadanie 2.

55

Zadanie 3.

55

Zadanie 4.

55

Podpunkt a)

55

Podpunkt b)

55

Podpunkt c)

55

Podpunkt d)

55

Podpunkt e)

55
6.3 Mnożenie i dzielenie potęg o tym samym wykładniku
56

Zadanie 1.

56

Zadanie 2.

56

Podpunkt a)

56

Podpunkt b)

56

Podpunkt c)

56

Podpunkt d)

56

Zadanie 3.

56

Podpunkt a)

56

Podpunkt b)

56

Podpunkt c)

56

Podpunkt d)

56

Podpunkt e)

56
6.4 Potęga potęgi
57

Zadanie 1.

57

Zadanie 2.

57

Zadanie 3.

57

Zadanie 4.

57

Podpunkt a)

57

Podpunkt b)

57

Podpunkt c)

57

Podpunkt d)

57

Podpunkt e)

57
6.5 Notacja wykładnicza
58

Zadanie 1.

58

Zadanie 2.

58

Zadanie 3.

58

Zadanie 4.

58

Podpunkt a)

58

Podpunkt b)

58

Podpunkt c)

58

Podpunkt d)

58

Zadanie 5.

59

Zadanie 6.

59

Podpunkt a)

59

Podpunkt b)

59

Podpunkt c)

59

Zadanie 7.

59
Pełny spis treści
Skul
Artboard 1
Skul.pl
  • Napisz do nas
  • FAQ
  • Mapa Serwisu
  • Google Play
  • App Store

Korzystanie z portalu oznacza akceptację Regulaminu.
Polityka prywatności. Ustawienia preferencji. Copyright: INTERIA.PL 1999-2023 Wszystkie prawa zastrzeżone.