Skul.pl
  • Opracowania zadań z podręczników
  • Matematyka. Klasa 8. Zeszyt ćwiczeń - rozwiązania i odpowiedzi
  • Zadanie 5.

Matematyka. Klasa 8. Zeszyt ćwiczeń - rozwiązania i odpowiedzi

Zeszyt ćwiczeń, Wydawnictwo: WSiP
Poprzednie

Zadanie 5. - strona 59

Następne

Zadanie

Ustal, czy podane zdania są prawdziwe, czy fałszywe.

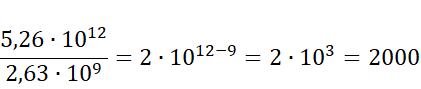
Liczba jest 2000 razy mniejsza niż .

Liczba jest 2500 razy większa niż

Rozwiązanie

Liczba jest 2000 razy mniejsza niż . - prawda

Liczba jest 2500 razy większa niż - fałsz

Skul

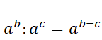
Wyjaśnienie

Skorzystaj z tego, że: .

Poprzednie
Następne

Matematyka - wybrane pytania

Zadanie 8., strona 305, Matematyka. Klasa 1. Podręcznik. Zakres rozszerzony – rozwiązania i odpowiedzi
Zadanie 18, strona 279, MATeMAtyka 4. Zakres podstawowy i rozszerzony. Podręcznik - rozwiązania i odpowiedzi
Zadanie Prosto do matury 5., strona 51, Prosto do matury. Matematyka. Klasa 2. Zakres podstawowy. Podręcznik - rozwiązania i odpowiedzi
Zadanie 12, strona 96, Matematyka z plusem. Klasa 2. Podręcznik. Zakres rozszerzony – rozwiązania i odpowiedzi
Zadanie 8, strona 61, Teraz matura. Klasa 4. Zbiór zadań. Poziom podstawowy – rozwiązania i odpowiedzi
Zadanie 40., strona 142, MATeMAtyka 1. Zakres podstawowy i rozszerzony. Zbiór zadań – rozwiązania i odpowiedzi
Ćwiczenie podejmij temat 5, strona 38, Matematyka. Klasa 6. Podręcznik. Część 2 - rozwiązania i odpowiedzi
Zadanie 17, strona 153, Matematyka z plusem. Klasa 7. Zbiór zadań – rozwiązania i odpowiedzi
Ćwiczenie 3., strona 160, Matematyka i przykłady jej zastosowań. Klasa 1. Podręcznik. Zakres podstawowy – rozwiązania i odpowiedzi
Zadanie 14., strona 73, MATeMAtyka. Klasa 3. Zbiór zadań. Zakres podstawowy – rozwiązania i odpowiedzi
REKLAMA
Skul
Zadania z tego działu
6. Potęgi
54
6.1 Potęga o wykładniku naturalnym
54

Zadanie 1.

54

Zadanie 2.

54

Zadanie 3.

54

Zadanie 4.

54
6.2 Mnożenie i dzielenie potęg o tej samej podstawie
55

Zadanie 1.

55

Zadanie 2.

55

Zadanie 3.

55

Zadanie 4.

55

Podpunkt a)

55

Podpunkt b)

55

Podpunkt c)

55

Podpunkt d)

55

Podpunkt e)

55
6.3 Mnożenie i dzielenie potęg o tym samym wykładniku
56

Zadanie 1.

56

Zadanie 2.

56

Podpunkt a)

56

Podpunkt b)

56

Podpunkt c)

56

Podpunkt d)

56

Zadanie 3.

56

Podpunkt a)

56

Podpunkt b)

56

Podpunkt c)

56

Podpunkt d)

56

Podpunkt e)

56
6.4 Potęga potęgi
57

Zadanie 1.

57

Zadanie 2.

57

Zadanie 3.

57

Zadanie 4.

57

Podpunkt a)

57

Podpunkt b)

57

Podpunkt c)

57

Podpunkt d)

57

Podpunkt e)

57
6.5 Notacja wykładnicza
58

Zadanie 1.

58

Zadanie 2.

58

Zadanie 3.

58

Zadanie 4.

58

Podpunkt a)

58

Podpunkt b)

58

Podpunkt c)

58

Podpunkt d)

58

Zadanie 5.

59

Zadanie 6.

59

Podpunkt a)

59

Podpunkt b)

59

Podpunkt c)

59

Zadanie 7.

59
Pełny spis treści
Skul
Artboard 1
Skul.pl
  • Napisz do nas
  • FAQ
  • Mapa Serwisu
  • Google Play
  • App Store

Korzystanie z portalu oznacza akceptację Regulaminu.
Polityka prywatności. Ustawienia preferencji. Copyright: INTERIA.PL 1999-2023 Wszystkie prawa zastrzeżone.