Skul.pl
  • Opracowania zadań z podręczników
  • Matematyka. Klasa 8. Zeszyt ćwiczeń - rozwiązania i odpowiedzi
  • Zadanie 2.

Matematyka. Klasa 8. Zeszyt ćwiczeń - rozwiązania i odpowiedzi

Zeszyt ćwiczeń, Wydawnictwo: WSiP
Poprzednie

Zadanie 2. - strona 54

Następne

Zadanie

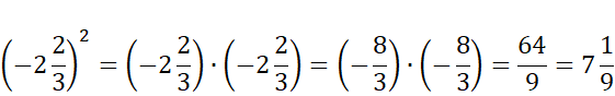
Która liczba podniesiona do drugiej potęgi da liczbę .

A.

B.

C.

D.

Rozwiązanie

Odpowiedź: C.

Skul

Wyjaśnienie

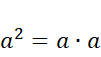
Skorzystaj z tego, że , zamień ułamki na ułamki niewłaściwe i oblicz wartości wyrażeń.

Poprzednie
Następne

Matematyka - wybrane pytania

Zadanie 2, strona 17, Matematyka. Klasa 6. Zeszyt ćwiczeń – rozwiązania i odpowiedzi
Zadanie 5., strona 233, MATeMAtyka. Klasa 2. Podręcznik. Zakres podstawowy i rozszerzony – rozwiązania i odpowiedzi
Zadanie 7., strona 250, Matematyka wokół nas. Klasa 7. Podręcznik - rozwiązania i odpowiedzi
Zadanie 6., strona 51, Matematyka wokół nas. Klasa 6. Zbiór zadań - rozwiązania i odpowiedzi
Ćwiczenie 7., strona 61, Matematyka z plusem. Klasa 6. Zeszyt ćwiczeń. Wersja B. Część 1 - rozwiązania i odpowiedzi
Zadanie 4, strona 164, Matematyka z kluczem. Klasa 4. Podręcznik. Część 2 - rozwiązania i odpowiedzi
Zadanie 2, strona 188, Matematyka. Klasa 4. Podręcznik - rozwiązania i odpowiedzi
Zadanie 11, strona 99, Matematyka. Klasa 6. Podręcznik. Część 1 - rozwiązania i odpowiedzi
Zadanie D, strona 10, Matematyka z plusem. Klasa 8. Podręcznik – rozwiązania i odpowiedzi
Zadanie 9., strona 95, Matematyka z plusem. Klasa 5. Podręcznik - rozwiązania i odpowiedzi
REKLAMA
Skul
Zadania z tego działu
6. Potęgi
54
6.1 Potęga o wykładniku naturalnym
54

Zadanie 1.

54

Zadanie 2.

54

Zadanie 3.

54

Zadanie 4.

54
6.2 Mnożenie i dzielenie potęg o tej samej podstawie
55

Zadanie 1.

55

Zadanie 2.

55

Zadanie 3.

55

Zadanie 4.

55

Podpunkt a)

55

Podpunkt b)

55

Podpunkt c)

55

Podpunkt d)

55

Podpunkt e)

55
6.3 Mnożenie i dzielenie potęg o tym samym wykładniku
56

Zadanie 1.

56

Zadanie 2.

56

Podpunkt a)

56

Podpunkt b)

56

Podpunkt c)

56

Podpunkt d)

56

Zadanie 3.

56

Podpunkt a)

56

Podpunkt b)

56

Podpunkt c)

56

Podpunkt d)

56

Podpunkt e)

56
6.4 Potęga potęgi
57

Zadanie 1.

57

Zadanie 2.

57

Zadanie 3.

57

Zadanie 4.

57

Podpunkt a)

57

Podpunkt b)

57

Podpunkt c)

57

Podpunkt d)

57

Podpunkt e)

57
6.5 Notacja wykładnicza
58

Zadanie 1.

58

Zadanie 2.

58

Zadanie 3.

58

Zadanie 4.

58

Podpunkt a)

58

Podpunkt b)

58

Podpunkt c)

58

Podpunkt d)

58

Zadanie 5.

59

Zadanie 6.

59

Podpunkt a)

59

Podpunkt b)

59

Podpunkt c)

59

Zadanie 7.

59
Pełny spis treści
Skul
Artboard 1
Skul.pl
  • Napisz do nas
  • FAQ
  • Mapa Serwisu
  • Google Play
  • App Store

Korzystanie z portalu oznacza akceptację Regulaminu.
Polityka prywatności. Ustawienia preferencji. Copyright: INTERIA.PL 1999-2023 Wszystkie prawa zastrzeżone.