Zadanie

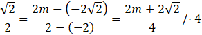
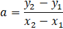
W tym zadaniu musisz wyznaczyć , dla którego punkty i leżą na tej samej prostej o współczynniku

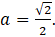
Rozwiązanie

Wyjaśnienie

Zadania z tego działu
5. Funkcja liniowa
171
5.1 Wykres funkcji liniowej (1)
173

Zadanie 1

173

Zadanie 2

173

Zadanie 3

173

Zadanie 4

173

Zadanie 5

173

Zadanie 7

173

Zadanie 8

174

Zadanie 9

174

Zadanie 10

174

Zadanie 11

174

Zadanie 12

174

Zadanie 13

174

Zadanie 14

175

Zadanie 15

175
Powtórzenie
198