W tym zadaniu musisz pokazać, że jedna z symetralnych podanego trójkąta jest również jego wysokością, czyli, że trójkąt jest równoramienny.
| 0 | -2 | |
| -3 | 5 |
| 2 | 4 | |
| -6 | -4 |
| 1 | 5 | |
| 8 | 7 |
Wyznaczmy symetralną boku
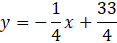
Symetralna tego boku to prosta prostopadła do prostej
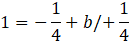
Sprawdzamy, czy punkt
Wyznaczmy symetralną boku
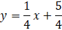
Symetralna tego boku to prosta prostopadła do prostej
Sprawdzamy, czy punkt
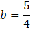
Symetralna boku
Stwórz najpierw rysunek pomocniczy – przekształć równania prostych do postaci kierunkowej i wyznacz po dwa punkty z każdej prostej. Wysokość zawiera się w symetralnej boku, jeżeli symetralna ta przechodzi przez przeciwległy wierzchołek trójkąta (symetralna boku to prosta prostopadła do niego przechodząca przez jego środek, jeżeli ta prosta prostopadła przechodzi również przez trzeci wierzchołek trójkąta to jest również jego wysokością). Spróbuj najpierw wyznaczyć symetralną boku
Zadanie 1
173Zadanie 2
173Zadanie 3
173Zadanie 4
173Zadanie 5
173Zadanie 7
173Zadanie 8
174Zadanie 9
174Zadanie 10
174Zadanie 11
174Zadanie 12
174Zadanie 13
174Zadanie 14
175Zadanie 15
175Zadanie 1
176Zadanie 2
176Zadanie 4
176Zadanie 7
176Zadanie 9
177Zadanie 10
177Zadanie 12
177Zadanie 16
178Zadanie 20
178Zadanie 21
178Zadanie 22
178Zadanie 1
179Zadanie 2
179Zadanie 4
179Zadanie 6
179Zadanie 7
179Zadanie 9
180Zadanie 11
180Zadanie 12
180Zadanie 15
180Zadanie 18
181Zadanie 19
181Zadanie 22
181Zadanie 23
181Zadanie 25
181Zadanie 2
182Zadanie 3
182Zadanie 4
182Zadanie 5
182Zadanie 6
182Zadanie 7
182Zadanie 8
183Zadanie 10
183Zadanie 11
183Zadanie 13
183Zadanie 14
183Zadanie 16
184Zadanie 19
184Zadanie 20
184Zadanie 21
184Zadanie 22
184Zadanie 1
185Zadanie 2
185Zadanie 3
185Zadanie 4
185Zadanie 5
185Zadanie 7
186Zadanie 10
186Zadanie 11
186Zadanie 21
187Zadanie 1
188Zadanie 2
188Zadanie 3
188Zadanie 7
188Zadanie 10
189Zadanie 11
189Zadanie 12
189Zadanie 13
189Zadanie 14
189Zadanie 16
189Zadanie 21
190Zadanie 22
190Zadanie 1
191Zadanie 2
191Zadanie 3
191Zadanie 4
191Zadanie 6
191Zadanie 8
192Zadanie 9
192Zadanie 11
192Zadanie 22
193Zadanie 3
194Zadanie 4
194Zadanie 6
195Zadanie 7
195Zadanie 8
195Zadanie 9
195Zadanie 10
196Zadanie 11
196Zadanie 12
196Zadanie 14
197Zadanie 1
198Zadanie 2
198Zadanie 4
198Zadanie 6
198Zadanie 8
199Zadanie 11
199Zadanie 12
199Zadanie 13
199Zadanie 14
199Zadanie 15
199Zadanie 16
199Zadanie 17
200Zadanie 20
200Zadanie 21
200Zadanie 27
201Zadanie 28
201Zadanie 30
201Zadanie 31
201