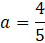
W tym zadaniu musisz wyznaczyć równanie prostej w postaci kierunkowej, przechodzącej przez dwa punkty
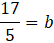
Dodajemy stronami:
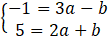
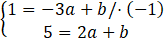
Przez dwa różne punkty przechodzi dokładnie jedna prosta. Wyznacz ją ze wzoru na postać kierunkową prostej
Zadanie 1
173Zadanie 2
173Zadanie 3
173Zadanie 4
173Zadanie 5
173Zadanie 7
173Zadanie 8
174Zadanie 9
174Zadanie 10
174Zadanie 11
174Zadanie 12
174Zadanie 13
174Zadanie 14
175Zadanie 15
175Zadanie 1
176Zadanie 2
176Zadanie 4
176Zadanie 7
176Zadanie 9
177Zadanie 10
177Zadanie 12
177Zadanie 16
178Zadanie 20
178Zadanie 21
178Zadanie 22
178Zadanie 1
179Zadanie 2
179Zadanie 4
179Zadanie 6
179Zadanie 7
179Zadanie 9
180Zadanie 11
180Zadanie 12
180Zadanie 15
180Zadanie 18
181Zadanie 19
181Zadanie 22
181Zadanie 23
181Zadanie 25
181Zadanie 2
182Zadanie 3
182Zadanie 4
182Zadanie 5
182Zadanie 6
182Zadanie 7
182Zadanie 8
183Zadanie 10
183Zadanie 11
183Zadanie 13
183Zadanie 14
183Zadanie 16
184Zadanie 19
184Zadanie 20
184Zadanie 21
184Zadanie 22
184Zadanie 1
185Zadanie 2
185Zadanie 3
185Zadanie 4
185Zadanie 5
185Zadanie 7
186Zadanie 10
186Zadanie 11
186Zadanie 21
187Zadanie 1
188Zadanie 2
188Zadanie 3
188Zadanie 7
188Zadanie 10
189Zadanie 11
189Zadanie 12
189Zadanie 13
189Zadanie 14
189Zadanie 16
189Zadanie 21
190Zadanie 22
190Zadanie 1
191Zadanie 2
191Zadanie 3
191Zadanie 4
191Zadanie 6
191Zadanie 8
192Zadanie 9
192Zadanie 11
192Zadanie 22
193Zadanie 3
194Zadanie 4
194Zadanie 6
195Zadanie 7
195Zadanie 8
195Zadanie 9
195Zadanie 10
196Zadanie 11
196Zadanie 12
196Zadanie 14
197Zadanie 1
198Zadanie 2
198Zadanie 4
198Zadanie 6
198Zadanie 8
199Zadanie 11
199Zadanie 12
199Zadanie 13
199Zadanie 14
199Zadanie 15
199Zadanie 16
199Zadanie 17
200Zadanie 20
200Zadanie 21
200Zadanie 27
201Zadanie 28
201Zadanie 30
201Zadanie 31
201