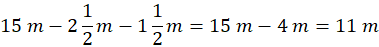
W tym zadaniu musisz obliczyć, ile metrów 15-metrowej tasiemki pozostało, skoro krawcowa odcięła już m i m.
Pozostało 11 m tasiemki.
Długość tasiemki wcześniej: 15 m.
Należy odjąć to, co zostało już odcięte.
Zadanie 1
Podpunkt a)
Podpunkt b)
Podpunkt c)
Podpunkt d)
Podpunkt e)
Zadanie 2
Zadanie 3
Podpunkt f)
Podpunkt g)
Zadanie 4
Zadanie 5
Zadanie 6
Zadanie 7
Zadanie 8
Zadanie 9
Zadanie 10
Zadanie 11
Zadanie 12
Zadanie 13
Zadanie 14
Zadanie 15
Zadanie 16
Zadanie 17
Zadanie 18
Zadanie 19
Zadanie 20