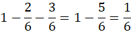
W tym zadaniu musisz obliczyć, ile pizzy jeszcze zostało, jeśli Tomek zjadł z niej , a Karol .
pizzy pozostało.
Cała pizza to całość, czyli 1. Odejmij to, co zostało już zjedzone przez chłopców, by dowiedzieć się, ile pizzy jeszcze zostało.
Zadanie 1
Podpunkt a)
Podpunkt b)
Podpunkt c)
Podpunkt d)
Podpunkt e)
Zadanie 2
Zadanie 3
Podpunkt f)
Podpunkt g)
Zadanie 4
Zadanie 5
Zadanie 6
Zadanie 7
Zadanie 8
Zadanie 9
Zadanie 10
Zadanie 11
Zadanie 12
Zadanie 13
Zadanie 14
Zadanie 15
Zadanie 16
Zadanie 17
Zadanie 18
Zadanie 19
Zadanie 20