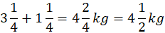
W tym zadaniu musisz obliczyć sumę dwóch ułamków: . W ten sposób dowiesz się, ile łącznie kilogramów owoców kupił Bartek.
Należy dodać masę kupionych śliwek i pomarańczy. Całości dodawaj do całości, a licznik do licznika. Na koniec skróć ułamek.
Zadanie 1
Podpunkt a)
Podpunkt b)
Podpunkt c)
Podpunkt d)
Podpunkt e)
Zadanie 2
Zadanie 3
Podpunkt f)
Podpunkt g)
Zadanie 4
Zadanie 5
Zadanie 6
Zadanie 7
Zadanie 8
Zadanie 9
Zadanie 10
Zadanie 11
Zadanie 12
Zadanie 13
Zadanie 14
Zadanie 15
Zadanie 16
Zadanie 17
Zadanie 18
Zadanie 19
Zadanie 20