W tym zadaniu musisz obliczyć, jaka część książki została przeczytana przez Monikę w ostatni dzień czytania, jeśli w poprzednie dni przeczytała całej książki.
Rozwiązanie
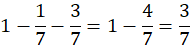
Trzeciego dnia Monika przeczytała książki.
Wyjaśnienie
Książka to całość, czyli 1. Odejmij to, co zostało już przeczytane.