W tym zadaniu musisz zamienić podane liczby mieszane (z wyciągniętymi całościami)
na ułamki niewłaściwe (o liczniku większym lub równym od mianownika).
Zadanie 1
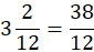
Podpunkt a)
Podpunkt b)
Podpunkt c)
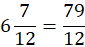
Podpunkt d)
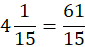
Podpunkt e)
Zadanie 2
Zadanie 3
Podpunkt f)
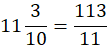
Podpunkt g)
Zadanie 4
Zadanie 5
Zadanie 6
Zadanie 7
Zadanie 8
Zadanie 9
Zadanie 10
Zadanie 11
Zadanie 12
Zadanie 13
Zadanie 14
Zadanie 15
Zadanie 16
Zadanie 17
Zadanie 18
Zadanie 19
Zadanie 20