W tym zadaniu musisz zamienić podane liczby mieszane (z wyciągniętymi całościami):
na ułamki niewłaściwe (o liczniku większym lub równym od mianownika).
Zadanie 1
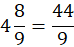
Podpunkt a)
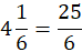
Podpunkt b)
Podpunkt c)
Podpunkt d)
Podpunkt e)
Zadanie 2
Zadanie 3
Podpunkt f)
Podpunkt g)
Zadanie 4
Zadanie 5
Zadanie 6
Zadanie 7
Zadanie 8
Zadanie 9
Zadanie 10
Zadanie 11
Zadanie 12
Zadanie 13
Zadanie 14
Zadanie 15
Zadanie 16
Zadanie 17
Zadanie 18
Zadanie 19
Zadanie 20